Желчные спирты
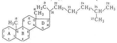
ЖЕЛЧНЫЕ СПИРТЫ, многоатомные спирты, относящиеся к классу стероидов. Почти все желчные спирты - полигидроксизамещенные холестана (см. ф-лу) или С-27-норхолестана.
Содержат, как правило, гидроксильные группы в цикле (от 1 до 4) и в боковой цени при атомах С-24, С-25, С-26 или С-27. Положение заместителей, расположенных под или над плоскостью молекулы, обозначают соотв. буквами a и b, утраченные углеродные атомы - префиксом "нор". Желчные спирты-кристаллы, плохо раств. в воде (см. табл.). Содержатся в желчи обычно в виде Na-соли моносульфата по гидроксильной группе боковой цепи при атоме С-26.
Тривиальные названия желчных спиртов происходят от латинского назв. животных, из желчи к-рых они выделены. Желчные спирты вырабатываются печенью рыб и амфибий; 5b-холестантетрол и 5b-холестанпентол найдены в желчи и фекалиях человека, больного церебральным ксантоматозом. Биосинтез желчных спиртов в организме включает гидроксилирование холестерина по атому С-7, окисление 3b-гидроксигруппы в 3-оксогруппу с миграцией двойной связи из положения 5(6) в положение 4, гидроксилирование по атому С-12, последующее восстановление 3-оксогруппы с образованием 3a- и 3b-гидроксисоединений 5a- и 5b-рядов и, наконец, гидроксилирование боковой цепи. Своб. желчные спирты получают из желчи в условиях мягкого сольволиза. Так, напр., сцимнол выделен при обработке желчи ската 40%-ным р-ром трихлоруксусной к-ты в диоксане, р-химерол - мягким кислотным гидролизом желчи химеры. Щелочной гидролиз приводит, как правило, к образованию продуктов дегидратации. Для установления строения желчных спиртов и состава желчи используют высокоэффективную жидкостную хроматографию в комбинации с масс-спектрометрией.
Литература
Физер Л., Физeр М., Стероиды, пер. с англ., М., 1964; Noma Y. [а.о.], "Chem. Pharm. Bull.". 1976, v. 24. № 11, p. 2686-91; Shaw R., Elliott W. H., "Anal. Biochem.", 1976, v. 74, № 2, p. 273-81; Haslewood G. A. D., The biological importance of bile salts. Amst. N.Y. Oxf., 1978; Kihira К. [а.о.], "Chem. Pharm. Bull.", 1982, v. 30, № 8, p. 3040-41. Г. С. Гриненко.
Синонимы/примеры:*
Холевая кислота; Хенодезоксихолевая кислота; Дегидрохолевая кислота; Литохолевая кислота
*подобраны ИИ, возможны неточности
Ещё по теме
Жёлчные кислоты — строение и функции
Желчь — функции и состав
Трехатомные спирты — особенности и превращения
Спирты — строение, свойства и применение
Спирты — свойства, получение и применение
Стероиды — классификация и роль в организме
Высшие спирты — свойства и применение
Многоатомные производные углеводородов
Глицериды — строение и свойства
Стероиды и их роль в организме
Фосфоглицериды — строение и функции
Холестерин — свойства и применение