Пиперилен
ПИПЕРИЛЕН (1,3-пентадиен) CH2=CHCH=CHCH3, мол. м. 68,11; существует в виде цис- и тряис-изомеров. Пиперилен-бесцв. жидкость (см. табл.), цис-пиперилен хорошо раств. в бензоле, транс-пиперилен- в бензоле и диэтиловом эфире; не раств. в воде, образует азеотропные смеси с метанолом, этано-лом, циклопентеном, циклопентадиеном, метилформиа-том и др.
НЕКОТОРЫЕ СВОЙСТВА ПИПЕРИЛЕНА
| Показатель | цис-пиперилен | транс-пиперилен | ||
| Т.пл., 0C | -140,82 | -87,47 | ||
| T. кип., 0C | 44,07 | 42,03 | ||
| | 0,6910 | 0,6760 | ||
| | 1,4363 | 1,4301 | ||
| Константы ур-ния температурной зависимости давления пара lgp(мм рт. ст.) = А — — Вi, (T +С) (температурный диапазон от -60 до +1200C): | | | ||
| A | 6,94179 | 6,92257 | ||
| В. | 1118,371 | 1108,937 | ||
| С | 231,327 | 232,338 | ||
| | 1,3944 | 1,5246 | ||
| | -78,2 | -77,8 | ||
| | 28,2 | 27,6 | ||
| | 324,3 | 319,7 | ||
Пиперилен вступает в р-ции, характерные для сопряженных диенов (см. Диеновые углеводороды): гидрируется, окисляется, с SO2 образует циклич. сульфон, транс-пиперилен (в отличие от цис-пиперилена) вступает в диеновый синтез.
Пиперилен содержится в продуктах крекинга нефти. Образуется в качестве побочного продукта при дегидрировании изопен-тана в изопрен (техн. фракция содержит 70-80% пиперилена).
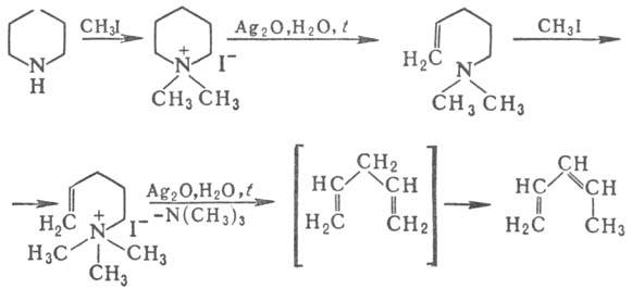
Удобный метод получения пиперилена - метилирование пиперидина с послед. расщеплением продукта метилирования (см. Гофмана реакции):

Синтезируют пиперилен из ацетилена, ацетальдегида и CH2O:
Пиперилен может быть получен также дегидрированием пентенов, дегидратацией 2,3-пентандиола, из кротонового альдегида.
Пиперилен легко полимеризуются и сополимеризуются, напр. с изопреном, стиролом. Его используют для получения каучу-ков, латексов, в произ-ве синтетич. олифы и т.д.
ПДК (в воздухе) 40 мг/м3; КПВ: нижний 2,6%, верхний 10,3% (по объему).
Лит.: Ривин Э. M., Наровлянский А. К., Петров Л. H., в кн.: Основной органический синтез и нефтехимия. Межвузовский сб., в. 15, Ярославль, 1982, с. 8-17; Павлов С. Ю., Выделение и очистка мономеров для синтетического каучука. Л., 1987. С. И. Крюков.


(25°С),кДж/(кг·К)
, кДж/моль
, кДж/моль
, Дж/(моль·К)