Оксиэтилированные жирные кислоты
ОКСИЭТИЛИРОВАННЫЕ ЖИРНЫЕ КИСЛОТЫ (поли-оксиэтиленалканоаты), техн. назв. соед. общей ф-лы RCOO (С2Н4О)n Н, где R-алкил, алкенил С7 и выше, п
1. Неионогенные ПАВ. Р-римость оксиэтилированных жирных кислот и т-ра застывания зависят от величины радикала R и кол-ва оксиэтильных групп.
Получают оксиэтилированные жирные кислоты действием этиленоксида на жирные к-ты или этерификацией жирных к-т полиэтиленгликолями.
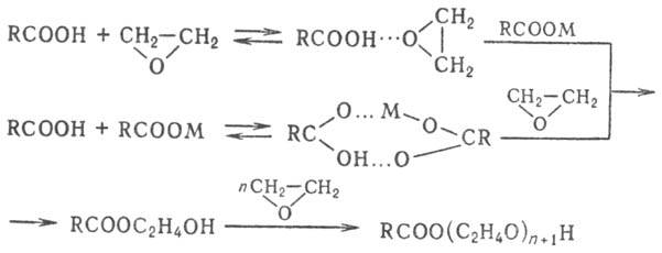
В первом случае р-цию проводят при 120-200 °С и 0,196-0,686 МПа в присут. оснований (КОН, NaOH, CH3ONa, R3N); р-ция протекает через промежут. образование комплексов к-ты с этиленоксидом или к-ты с ее солью:

Побочные продукты-полигликолевые эфиры жирной к-ты, моно- и диэфиры этиленгликоля, полиэтиленгликоли. Использование в качестве катализаторов третичных аминов позволяет подавить образование побочных продуктов лишь на стадии образования моноэфира (его содержание в реакц. среде достигает 90-98%).
Этерификацию жирных к-т полиэтиленгликолями обычно проводят при 120-200 °С и пониж. давлении в присут. как кислотных (H2SO4, H3PO4, я-толуолсульфокислота и др.), так и щелочных (КОН, NaOH) катализаторов в атмосфере инертного газа (N2 или СО2).
Моноэфиры большой мол. массы получают при этерифи-кации жирных к-т полиалкиленгликолями в присут. кислотных катализаторов; выход ок. 98%.
Определяют оксиэтилированные жирные кислоты (п
10) методом ГЖХ с предварит. обработкой анализируемой пробы триметилсилилирующим агентом (чаще всего гексаметилендисилазаном) для перевода аддуктов в более летучие и термостойкие соед.; для высокоэтилир. производных жирных к-т используют в осн. экстракц. методы и адсорбц. хроматографию.
Осн. промышленные оксиэтилированные жирные кислоты: с т е а р о к с - смесь полиокси-этиленовых эфиров стеариновой к-ты, п ~ 6, содержит 90% осн. в-ва; светло-желтая или светло-коричневая сиропо- или пастообразная масса, т. заст. 32-33 °С; в воде образует устойчивые эмульсии; ПДК в воде 1,0 мг/л; ОЖК-де-эмульгатор нефтяных фракций-смесь полиоксиэти-леновых эфиров синтетич. жирных к-т, п ~ 15, содержит 99% осн. в-ва; коричневая мазеобразная масса, хорошо раств. в воде, бензоле, плохо-в этаноле, диэтиловом эфире, в жесткой воде образует устойчивые эмульсии; ПДК 10 мг/л, ПДК в воде 3,0 мг/л.
Оксиэтилированные жирные кислоты биологически слаборазлагаемы; ЛД50 5-10 г/кг (мыши, перорально).
Оксиэтилированные жирные кислоты-активная основа синтетич. моющих ср-в типа "Кристалл", безжировые замасливатели при переработке натуральных и синтетич. волокон и нитей, деэмульгаторы нефтяных эмульсий, ингибиторы коррозии при обессоливании нефти, текстильно-вспомогат. в-ва (антистатики, мягчи-тели, выравниватели, авиважные ср-ва).
Лит. см. при ст. Оксиэтилированные алкиламины. Ж. А. Бедина.