Нитрозонафтолы
НИТРОЗОНАФТОЛЫ (гидроксинитрозонафталины), соед. общей ф-лы С10 Н8-(n+m)(ОН)n (NO)m. Практич. значение имеют соед. с п = т = 1, мол.м. 173,14-2-нитрозо-1 -нафтол, 1-нитрозо-2-нафтол и 4-нитрозо-1-нафтол (ф-лы I-III соотв.)

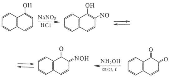
Существуют, как правило, в виде смеси двух таутомеров -нитрозоформы и хиноноксимной формы (напр., ф-лы IV); для соед. III преобладает первая форма, а для соед. I и II - последняя. Кристаллы желтого цвета (см. табл.); хорошо раств. в большинстве орг. р-рителей, р-рах щелочей, не раств. в воде. Обладают св-вами нафтолов и ароматич. нитрозосоединелий.

Окисление нитрозонафтолов разб. HNO3, K3[Fe(CN)6] в щелочной среде или FeCl3 приводит к образованию соответствующих нитронафтолов, окисление конц. HNO3-к образованию также и динитропроизводных. Так, при обработке конц. HNO3 соед. I превращ. в 2,4-динитро-1 -нафтол, соед. II-в 1,6-динитро-2-нафтол. Восстановление нитрозонафтолов оловом в НСl или
СВОЙСТВА НЕКОТОРЫХ НИТРОЗОНАФТОЛОВ

фенилгидразином приводит к соответствующим аминонаф-толам; восстановление гидросульфитами щелочных металлов в кислой среде-к аминонафтолсульфокислотам. Так, из соед. II получают 1-амино-2-гидроксинафталин-4-сульфо-кислоту, а из соед. 1-2-амино-1-гидроксинафталин-4-суль-фокислоту. При действии Сl2 на соед. II сначала происходит замещение атома водорода в положении 3 с образованием
1-нитрозо-3-хлор-2-гидроксинафталина, а затем присоединение молекулы Сl2 с образованием 1-нитрозо-2-гидро-кси-3,3,4-трихлор-3,4-дигидронафталина.
Как производные нафтохинона нитрозонафтолы реагируют с гидро-ксиламином с образованием нафтохинондиоксимов, с бисульфитами щелочных металлов-с образованием бисуль-фитных производных, напр. соед. ф-лы V, используемого для крашения хлопка по железной протраве под назв. протравной зеленый Бс.

При нагр. Na-соли соед. II выше 250 °С происходит расщепление цикла, содержащего заместители, и образуется Na-соль 2-цианокоричной к-ты. Сама к-та м.б. получена при действии на соед. II сульфурилхлорида или бензолсульфохлорида. Нитрозонафтолы получают гл. обр. нитрозированием соответствующих нафтолов нитритом Na в кислой среде при пониж. т-ре; соед. I и III м.б. также получены взаимод. гидроксиламина с 1,2- и 1,4-нафтохинонами соотв., напр.:

При первом способе получения р-цию проводят в суспензии нафтола, получаемой подкислением нафтолята Na в присут. диспергатора. При нитрозировании 1-нафтола кроме соед. I в качестве побочного продукта образуется соед. III. Нитро-зирование применяют также при получении нитрозопроизводных из соответствующих гидроксинафталинсульфо-кислот.
Для обнаружения нитрозогруппы используют р-цию Ли-бермана (см. Нитрозосоединения), для определения - восстановление нитрозонафтолов избытком Sn в НСl с измерением выделяющегося кол-ва Н2. Благодаря высокой окислит. способности нитрозонафтолов для их количеств. анализа м.б. использован также и иодо-метрич. метод.
Нитрозонафтолы-промежут. продукты при синтезе пигментов. Их применение основано на способности к комплексообразованию с солями переходных металлов; обычно цвет комплекса зависит от природы центр. атома, напр.: комплекс с Fe имеет зеленый цвет, с Сr-оливковый, с Со-красно-коричневый, с Ni и Zn - желтый. Наиб. значение имеют комплексные соед. нитрозонафтолов с Fe (см. Нитрозокрасители).
Лит.: Ворожцов Н. Н., Основы синтеза промежуточных продуктов и красителей, 4 изд., М., 1955, с. 164-66; Эфрос Л. С, Горелик М. В., Химия и технология промежуточных продуктов, Л., 1980, с. 165-66; Степанов Б. И., Введение в химию и технологию органических красителей, 3 изд., М., 1984, с. 156 61; Химия нитро- и нитрозогрупп, под ред. Г. Фойера, пер. с англ., т. 1, М., 1972, с. 204, 208. В. И. Рыбинов.