Нафтиламинсульфокислоты
НАФТИЛАМИНСУЛЬФОКИСЛОТЫ (аминонафталин-сульфокислоты), соед. общей ф-лы NH2C10H7-n(SO3H)n. Для нафтиламинсульфокислот, наряду с номенклатурой ИЮПАК, используют традиц. наименования, исходящие из назв. соответствующих нафтиламинов, а также тривиальные назв.; напр., 5-амино-нафталин-2-сульфокислота наз. 1-нафтиламин-6-сульфо-кислотой или 1,6-Клеве к-той.
Нафтиламинсульфокислоты-бесцв. или светло-желтые кристаллы, многие образуют гидраты; умеренно раств. в воде (моносульфокислоты раств. хуже, чем ди- или трисульфокислоты), плохо-в эта-ноле, диэтиловом эфире. Нафтиламинсульфокислоты и их соли с к-тами в водном р-ре флуоресцируют голубым цветом. Для идентификации нафтиламинсульфокислот обычно используют их производные по сульфо- или аминогруппе (см. табл.).
Нафтиламинсульфокислоты обладают св-вами ароматич. аминов и сульфокислот. Под действием NaNO2 и НСl превращ. в хлорнафталин-сульфокислоты; послед. их нагревание с РСl5 приводит к образованию соответствующих дихлорнафталинов. Под действием амальгамы Na или Zn-пыли с NaOH нафтиламинсульфокислоты, содержащие сульфогруппу в a-положении нафталинового ядра, превращ. в соответствующие нафтиламины. При нагр. с р-рами диазосоединений в кислой среде, а также в условиях Бухерера реакции нафтиламинсульфокислоты превращ. в нафтолсульфокислоты (би-сульфитный метод гидролиза), напр.:


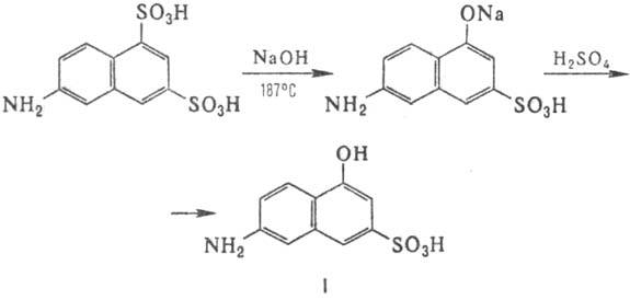
Нафтиламинсульфокислоты, содержащие две или три сульфогруппы, при щелочном плавлении превращ. соотв. в аминонафтолмоно- и амино-нафтолдисульфокислоты. Таким образом, напр., получают т. наз. I-кислоту (ф-ла I):

Легче всего на группу ОН замещается сульфогруппа, находящаяся в а-положении нафталинового ядра.
Нафтиламинсульфокислоты легко вступают в р-ции диазотирования и азосочета-ния, что используется для получения нек-рых красителей; напр., дисазокраситель кислотный черный С получают по схеме:

В пром-сти 5-амино- и 8-аминонафталин-1-сульфокислоты получают восстановлением чугунными стружками смеси соответствующих нитронафталинсульфокислот, полученной при нитровании a-нафталинсульфокислоты:
