Карбонаты органические

КАРБОНАТЫ ОРГАНИЧЕСКИЕ, сложные эфиры угольной к-ты. Средние ациклич. карбонаты бесцв. жидкости с эфирным запахом (см. табл.); не раств. или трудно раств. в воде, этаноле, диэтиламине, аммиаке, раств. в эфире, ацетоне, бутиламине, бензиламине; образуют азеотропные смеси с водой, спиртами, ССI4, этиленхлоргидрином, гексаном, циклогексаном. Циклич. карбонаты - жидкие или легкоплавкие твердые в-ва; раств. в воде, смешиваются с ароматич. углеводородами, спиртами, карбоновыми к-тами, ацетоном, хлороформом; не раств. в алифатич. углеводородах, CS2; образуют азеотропные смеси с гликолями. В ИК спектрах карбонаты имеют две сильные характеристич. полосы - при 1740-1860 см -1 (nС=O) и 1205-1290 см -1 (nC_O).
302_321-81.jpg
По хим. св-вам карбонаты - типичные эфиры сложные. Ациклич. карбонаты в присут. к-т Льюиса алкилируют ароматич. углеводороды, с хлорбензолом при действии Na образуют трифенилкарбинол, реагируют с ацетиленом с образованием эфиров алкоксикарбоновых к-т. Нуклеофилы расщепляют их по связи С(О)—О, напр., при взаимод. с NH3 образуются уретаны NH2C(O)OR. Ациклич. карбонаты используют для алкоксикарбонилирования по Клайзену:
302_321-82.jpg
При пиролизе ациклич. карбонатов образуются спирты, этилен и СO2. Циклич. карбонаты при взаимод. с нуклеофилами расщепляются преим. по связи C(R)—О, напр.:
302_321-83.jpg
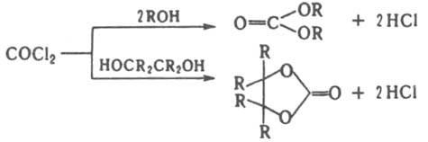
Исключение р-ция с NH3 или алифатич. аминами, приводящая к R2NC(O)OCH2CH2OH; виниленкарбонат в этой р-ции образует R2NC(O)OCH2CHO. Каталитич. гидрирование циклич. карбонатов приводит к 1,2-гликолям и метанолу Диеновым синтезом из виниленкарбоната получены цис-гликоли. Термокаталитич. распад пятичленных насыщенных циклич. карбонатов в присут. щелочей приводит к образованию оксиранов или продуктов их изомеризации (альдегидов, кетонов) и полигидроксиалкенов. Гидролиз циклич. карбонатов используют в произ-ве гликолей. Получают карбонаты взаимод. фосгена или эфиров хлормуравьиной к-ты со спиртами и фенолами при повыш. т-рах в присут азотистых оснований:
302_321-84.jpg
Они м. б. также получены гидроформилированием спиртов и фенолов в присут. соед. Сu и Pd и непосредственно из алкенов, напр., при взаимод. последних с О2 и СО2 в присут. галогенидов и др. соед. Сu. Основной пром. способ синтеза циклич. Карбонаты - взаимод. оксиранов с СО2 в присут. неорг. или орг. галогенидов, напр.:
302_321-85.jpg
Виниленкарбонат получают хлорированием этиленкарбоната с послед. отщеплением НСl. Каталитич. переэтерификация позволяет осуществить взаимные превращ. между низшими, высшими, циклич. и ациклич. карбонатами. Карбонаты - р-рители природных и синтетич. смол, эфиров целлюлозы, электролиты, диспергаторы, вспениватели и эмульгаторы, экстрагенты ароматич. углеводородов из смесей с алифатическими, абсорбенты H2S и СО2 из газов, мономеры в пром-сти СК, волокон и пластмасс, исходные в-ва для синтеза гликолей, пластификаторов, лек. препаратов и ср-в защиты растений. Кислые карбонаты [алкил(арил)угольные к-ты] ROC(O)COOH существуют только в виде солей. Об эфиpax ортоугольной к-ты см. Ортоэфиры. См. также Пропиленкарбонат, Этиленкарбонат.
Литература
Коренькова О. П., Кваша В. Б., "Хим. пром-стъ". 1961, № 9. с. 33(625) 38(630); Алкиленкарбонаты. Л., I975; Общая органическая химия, пер. с англ., т. 4. М., 1983, А. М. Рыженков.

Синонимы/примеры:* Карбонаты; Эфиры угольной кислоты; Сложные эфиры угольной кислоты
*подобраны ИИ, возможны неточности