Индандионы
ИНДАНДИОНЫ (диоксоинданы).
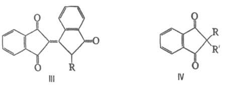
Существуют 1,2-индандион (ф-ла I) и 1,3-индандион (II); мол. м. 146,14. 1,2-Индандион - желтые кристаллы; т. пл. 95 °С; хорошо раств. в кипящей воде. При нагр. с 2 молями Вr2 в уксусной к-те (кат. - ацетат Na или НВr) превращается в 3,3-дибром-1,2-индандион; окисляется, напр. Н2О2 в смеси разб. соляной к-ты и метанола до гомофталевой к-ты. Получают 1,2-индандион препаративно окислением 2-гидрокси-1-инданона действием СrО3 в горячей воде. 1,3-Индандион бесцв. кристаллы; т. пл. 129-131 °С (с разл.); легко раств. в горячем бензоле, не раств. в воде и лигроине, раств. в водных р-рах щелочей с появлением интенсивной желтой окраски. Действием избытка РСl5 при 60 °С превращ. в 1,1,3,3-тетрахлориндан; восстанавливается Н2 в спирте (кат. - Pd или Pt) до индана. Вступает в р-ции по активной метиленовой группе: при действии 2 молей бензилхлорида (кaт. - C2H5ONa) дает 2,2-дибензил-1,3-индандион и бензилбиндон (III, R = СН2С6Н5), с 1 молем бензальдегида (110-120 °С, кат.- пиперидин) - 2-бензилиден-1,3-индандион; образует биндон (III, R = Н) при действии конц. H2SO4 (20 °С). Легко вступает в р-ции электроф. замещения, напр., нитруется в уксусной к-те при 20 °С с образованием 2-нитро-1,3-индандиона, при нагр. с HNO3 в уксусной к-те окисляется до фталевой к-ты, с реактивами Гриньяра дает 1-алкил-1-гидрокси-3-инданоны.
1,3-Индандион биологически инертен. Большое практич. значение имеют его производные по атому С-2, обладающие биол. активностью. 2-Арил-1,3-индандионы получают взаимод. фталевого ангидрида и арилуксусных к-т с послед. изомеризацией образующихся бензилиденфталидов (кат. - CH3ONa или C2H5ONa). 2-Фенил-1,3-индандион (т. пл. 148-149 °С) -антикоагулянт крови (фенилин) мягкого действия (IV, R = Н, R' = С6Н5). В качестве антикоагулянтов м. б. использованы также его 4'-хлор-, 4'-бром- и 4'-метоксизамещенные (т. пл. 142-144°С, 142-146°С, 152-154°С соотв.). 2-Фенил-1,3-индандион легко взаимод. по атому С-2 с формальдегидом, образуя 2-гидроксиметил-2-фенил-1,3-индандион антикоагулянт омефин; также легко нитруется, галогенируется, сульфируется по атому С-2. 2-Метиламино-2-фенил-1,3-индандион обладает снотворным действием, 2-этиламино-2-фенил-1,3-индандион - противосудорожным. Конденсацией диметилфталата с метилкетонами (кат. - CH3ONa) получают 2-ацил-1,3-индандионы, используемые как родентициды 2-(дифенилацетил)-1,3-индандион [IV, R = Н, R'= СОСН(С6Н5)2], выпускаемый под назв. "дифацион", а также 2-пивалоил-1,3-индандион [IV, R = Н, R' = СОС(СН3)3] и 2-изовалероил-1,3-индандион [IV, R = Н, R' = COCH2CH(CH3)2].
Литература
Циклические
Синонимы/примеры:*
Фенилин; Дикумарол; Омефин
*подобраны ИИ, возможны неточности
Ещё по теме
Синтез N-/β-(3-индолил)этил/имид-Δ4-циклогексен-транс-1,2-дикарбоновой кислоты
Ратиндан — описание и характеристики химического вещества
Нитрозодифениламины — свойства и применение
Оксидифениламины — свойства и применение
Дифенин — свойства и применение
Оксипиридины — свойства и применение