Фенилин
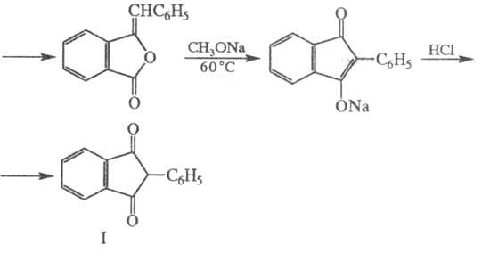
ФЕНИЛИН (2-фенил-1,3-индандион, ф-ла I), мол. м. 222,24; бесцв. или кремовые кристаллы; т. пл. 148-151 0C; практически не раств. в воде, плохо раств. в этаноле, диэтиловом эфире, хорошо - в бензоле, хлороформе, CCl4. При стоянии на свету темнеет, под действием щелочных агентов приобретает красноватую окраску вследствие енолизации. Фенилин получают по схеме:


Фенилин- активный непрямой антикоагулянт крови, приводит к нарушению образования протромбина в печени и уменьшает содержание разл. факторов свертывания крови, является антагонистом витамина К. Действует медленно и продолжительно. Применяют фенилин при лечении тромбозов, тромбофлебитов и др.
Л. H. Койков.
*Подобраны с помощью LLM, верифицированы, но возможны неточности.
Синонимы/примеры:*
Фенилиндон; Фенил; Фенолин
*подобраны ИИ, возможны неточности
Ещё по теме
Фенилин — свойства и применение антикоагулянта
Фенилизоцианид — характеристики и свойства
Фенизин — свойства и применение
Фендилин — свойства и применение
Фенилизонитрилы — характеристики и использование
Фенилгидразин — свойства и применение
(DL)-Фенилаланин — характеристики и применение
1-фенилэтиламин — характеристики и свойства
Фенолфталеин — свойства и применение
Дополнения к описанию Фенилина: