Дибензопираны

ДИБЕНЗОПИРАНЫ (ксантены), производные ксантена (ф-ла I). Важнейшие дибензопираны - соли ксантилия (дибензопирилия, II) и 9-ксантоны (дибензо-g-пироны, III).
041_060-32.jpg
Ксантен - желтые кристаллы; т. пл. 100,5°С, т. кип. 315 °С; раств. в диэтиловом эфире, плохо - в этаноле и воде. Соли ксантилия окрашены в желтый или красный цвет; устойчивы только в присут. сильной к-тьг. В водных р-рах образуют бесцв. сольватированные производные - ксантогидролы (IV).
041_060-33.jpg
9-Ксантон - желтые кристаллы; т. пл. 174-175°С, т. кип. 351 °С/730 мм рт. ст.; раств. в горячем этаноле, плохо в горячей воде, диэтиловом эфире, бензоле, холодном этаноле (0,55 г в 100 мл, 20 °С). Слабое основание. Разлагается при 860 °С с образованием дибензофурана. Молекула ксантона -структурный фрагмент растит. гликозидов. Р-ции дибензопиранов, не замещенных в положении 9, сходны с р-циями дифенилметана и дифенилового эфира. На свету они конденсируются с бензофеноном или с IV, напр.:
041_060-34.jpg
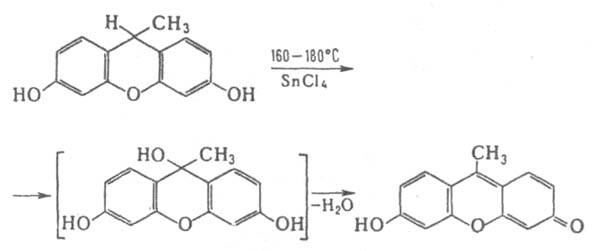
Ксантен при действии Н2СrO4 или разб. HNO3 окисляется в III; при действии дымящей HNO3 нитруется в положения 2 и 7. Производные дибензопиранов, замещенные в положении 9, при нагр. с конц. H2SO4 дают II. 9-Арилксантены окисляются под действием МnО2, РbО2 или Н2СrO4 в 9-арил-9-ксантогидролы; с кислородом воздуха образуют пероксиды. 2-Гидроксиксантены окисляются окислителями или кислородом воздуха в изоксантоны, напр.:
041_060-35.jpg
При взаимод. с серой и Na2S ксантен превращается в ксантион (V). Под действием бутиллития, а затем СО2 образует ксантен-9-карбоновую к-ту. Сплавление с твердым КОН (260 °С) приводит к о,о'-дигидроксидифенилметану. Нуклеоф. замещение катиона II идет в положение 9 и приводит к производным соед. IV, к-рые легко окисляются в III.
041_060-36.jpg
Последний обладает ароматич. св-вами; в р-ции, характерные для карбонильной группы, не вступает, лишь с гидразином образует гидразон. Окисление алкилксантонов КМnО4 или Н2СrО4 приводит к ксанто-карбоновым к-там. При щелочном восстановлении ксантона под действием Zn + NaOH или амальгамы Na в спирте образуется соед. IV, натрием - соед. I. При действии кислых восстановителей (Zn + HCl) образуется диксантилен (VI). Каталитич. восстановление соед. III в мягких условиях приводит к I.
041_060-37.jpg
При галогенировании III образует 2,7-дигалогенксантон; с хлористым тионилом или оксаллилхлоридом - 9,9-дихлорксантен, при нитровании - смесь 2,4-, 2,7- и 2,8-динитроксантонoв. При взаимод. с P2S5 дает соед. IV, к-рое при действии щелочей переходит обратно в III.
Ксантен получают конденсацией фенола с о-крезолом в присут. АlСl3, а также восстановлением II и III; производные - конденсацией фенолов с альдегидами или кетонами в присут. кислых реагентов, напр.:
041_060-38.jpg 041_060-39.jpg
Соли II синтезируют в присут. к-т по р-ции:
041_060-40.jpg
Соед. III получают пиролизом салициловой к-ты или ее производных (ариловых эфиров, ацетатов). Определяют колориметрически, первоначально восстанавливая амальгамой Na в IV и получая окрашенные соед. при действии H2SO4. Соед. II и III применяют в синтезе ксантеновых красителей, напр., флуоресцеина, эозина, родамина. Соед. III обладает инсектицидным действием против клещей, тлей, гусениц, личинок. Соед. I - фунгицид.
Литература
Исп. литература: Общая органическая химия, пер. с англ., т. 9, М., 1985, с. 36-38.
Е. Н. Караулова.
Синонимы/примеры:* Кумарины; Хромены
*подобраны ИИ, возможны неточности