Гликозилтрансферазы
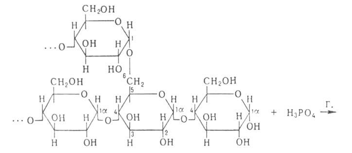
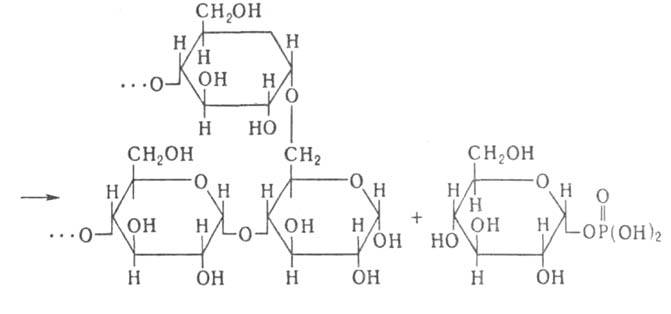
ГЛИКОЗИЛТРАНСФЕРАЗЫ, группа ферментов класса трансфераз, катализирующих перенос гликозильных групп на орто- и пирофосфорную к-ты, олиго- и полисахариды, Н2О или др. акцептор. Делятся на гексозил- и пентозилтрансферазы. Обладают строгой субстратной специфичностью по отношению к донору углевода и к конфигурации синтезируемой связи.К гликозилтрансферазам, переносящим гликозильную группу только на Н3РО4 (т. наз. истинные фосфорилазы), относится, напр., гликогенфосфорилаза, расщепляющая гликоген с образованием глюкозо-1-фосфата:

Фермент специфичен по отношению к
1 -> 4-глюкозидной связи. Существует в активной и неактивной формах. Содержит в кач-ве кофермента пиридоксальфосфат и состоит из 2 или 4 субъединиц (мол. м. каждой 92,5 тыс). Активность гликогенфосфорилазы регулируется внутриклеточными метаболитами: аденозинмонофосфат ее активирует, а АТФ и глюкозо-6-фосфат ингибируют. Гормональная регуляция активности фермента осуществляется адреналином и инсулином; действие адреналина сопровождается фосфорилированием и образованием активной гликогенфосфорилазы.
Гликозилтрансферазы, катализирующие перенос остатка моносахарида на пирофосфорную к-ту, используют в кач-ве донора углевода нуклеозидмонофосфат (напр., аденозинмонофосфат) или ни-котинамидмононуклеотид. К таким гликозилтрансферазам относится, напр., пирофосфорилаза, катализирующая перенос остатка сахара с образованием 5-фосфорибозил-1-пирофосфата.
Перенос гликозильных групп на олиго- и полисахариды осуществляется с использованием в кач-ве доноров нуклео-зиддифосфатсахаров. Напр., в образовании
1 ->4-гликозидной связи при синтезе гликогена и крахмала под действием гликогенсинтазы происходит перенос глюкозы с уридиндифосфатглюкозы. Этот фермент может фосфорилироваться, превращаясь в менее активную форму, к-рая активируется глюкозо-6-фосфатом.
В синтезе и распаде разветвленных полисахаридов участвуют гликозилтрансферазы ветвления. Разветвление молекулы при синтезе гликогена обусловлено действием амило-1,4-> 1,6-трансглюкозилазы, переносящей остаток сахара из положения 4 в положение 6. В расщеплении участвует глюканветвящая гликозилтрансфераза (Q-фермент), к-рая переносит трисахаридные фрагменты из положения 4 в положение 6 и гидролитически расщепляет 1 -> 6-связи в точках ветвления.
Гетерополисахариды синтезируются путем последоват. действия ряда гликозилтрансфераз, переносящих определенные остатки моносахаридов.
Биол. значение гликозилтрансфераз связано с их участием в синтезе и распаде резервных полисахаридов (напр., гликогена), в образовании целлюлозы, в-в бактериальной клеточной стенки (напр., муреина), в синтезе протеогликанов (напр., гиалуроновой кислоты и гепарина), липопротеинов, гликопротеинов и др.
Литература
Основы биохимии, пер. с англ., т. 2. М., 1981, с. 660-63; Диксон М., Уэбб Э., Ферменты, пер. с англ., т. 1, М., 1982. с. 315-17. П.Л. В\.1ьфсоп.