Феноло-альдегидные смолы
Феноло-альдегидные смолы, олигомерные продукты поликонденсации фенола, его гомологов (крезолов, ксиленолов) и многоатомных фенолов (например, резорцина) с альдегидами (формальдегидом и фурфуролом). Наибольшее практическое значение имеют феноло-формальдегидные смолы (ФФС), получаемые из фенолов (главным образом монооксибензола – см. Фенол) и формальдегида. В зависимости от соотношения реагирующих веществ и природы катализатора образуются термопластичные (новолаки) или терморсактивные (резолы) смолы (см. также Пластические массы). Так, в присутствии кислых катализаторов (обычно соляной или щавелевой кислоты) при избытке фенола получают новолачные смолы; в присутствии основных катализаторов, например NaOH, Ba (OH)2, NH4OH, при избытке формальдегида – резольные смолы.
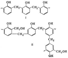
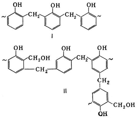
Новолачные смолы – преимущественно линейные олигомеры, в молекулах которых фенольные ядра соединены метиленовыми мостиками (например, I) и почти не содержат метилольных групп (– CH2OH), Резольные смолы – смесь линейных и разветвленных олигомеров (например, II), содержащих большое число метилольных групп, способных к дальнейшим превращениям:

Новолаки получают по периодической и непрерывной схеме; резолы – только но периодической. Технологический процесс включает стадии поликонденсации, осуществляемой при температуре кипения смеси (90–98 °С), и сушки, проводимой при остаточном давлении 13,30–19,98 н/м3, или 100–150 мм рм. см. Температура в конце сушки при получении новолаков 120–130 °С, резолов 90–105 °С. Новолачные смолы выпускают в виде твёрдых продуктов (стеклообразных кусков, чешуек или гранул), резольные – в виде твёрдых и жидких. Новолаки и резолы (молярная масса 600–1300 и 400–1000 соответственно) хорошо растворяются в спиртах и ацетоне, окрашены в зависимости от типа использованного катализатора в различные цвета – от светло-жёлтого до красноватого. В процессе переработки при нагревании ФФС отверждаются (см. Отверждение полимеров), причём для отверждения новолачных смол необходим отвердитель (обычно вводят уротропин; 6–14% от массы смолы). При отверждении резольных смол различают три стадии: А (начальная), В (промежуточная), С (конечная). На стадии А смола (резол) по физическим свойствам аналогична новолакам, т.к. растворяется и плавится, на стадии В смола (резитол) способна размягчаться при нагревании и набухать в растворителях, на стадии С смола (резит) не плавится и не растворяется.
Отверждённые смолы характеризуются высокими тепло-, водо- и кислотостойкостью, хорошими диэлектрическими свойствами, а в сочетании с наполнителями – и высокой механической прочностью (см. Фенопласты). Отверждённые новолаки уступают резитам по тепло-, водо-, химстойкости и диэлектрическим свойствам.
Для направленного изменения свойств ФФС в реакцию при их получении вводят компоненты, способные взаимодействовать с фенолом и формальдегидом. Так, при введении анилина повышаются диэлектрические свойства и водостойкость, при введении мочевины – светостойкость. Для придания способности растворяться в неполярных растворителях и совмещаться с растительными маслами ФФС модифицируют канифолью, трет-бутиловым спиртом; смолы этого типа широко используют в качестве основы для феноло-альдегидных лаков. ФФС совмещают с др. олигомерами и полимерами, например с полиамидами, – для придания более высокой тепло- и водостойкости, эластичности; с поливинилхлоридом – для улучшения водо- и химстойкости; с каучуками – для повышения ударной вязкости, с поливинилбутиралем – для улучшения адгезии (такие смолы – основа клеев БФ, см. Феноло-альдегидные клеи). ФФС используют для отверждения эпоксидных смол с целью придания последним более высокой термо-, кислото- и щёлочестойкости. ФФС наиболее широко применяют в производстве различных видов пластмасс: новолаки – для получения пресс-порошков, резолы – пресс-порошков, волокнитов, слоистых пластиков. Из новолаков и резолов изготовляют пенопласты и сотопласты.
Лит.: Энциклопедия полимеров, т. 3, М., 1977.
Г. М. Цейтлин.

Феноло-альдегидные смолы.