Транспорт аминокислот через клеточные мембраны
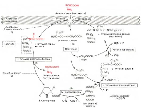
Различная скорость проникновения аминокислот через мембраны клеток, установленная при помощи метода меченых атомов, свидетельствует о существовании в организме активной транспортной системы, обеспечивающей перенос аминокислот как через внешнюю плазматическую мембрану, так и через систему внутриклеточных мембран. Несмотря на тщательные исследования, проведенные в разных лабораториях, тонкие механизмы функционирования активной системы транспорта аминокислот пока не расшифрованы. Очевидно, таких систем существует несколько. В частности, А. Майстером предложена оригинальная схема транспорта нейтральных аминокислот через плазматическую мембрану, которая, по-видимому, активна в почечных канальцах, слизистой оболочке кишечника и ряде других тканей. Сущность этой гипотезы можно представить в виде схемы:

Предполагают, что главную роль в этом процессе играет мембранно-связанный гликопротеин – фермент γ-глутамилтрансфераза, которая катализирует перенос γ-глутамильной группы от глутатиона или другого γ-глутамильного пептида на транспортируемую аминокислоту. Комплекс γ-глутамил–аминокислота после переноса через биомембрану распадается внутри клетки (или внутри субклеточного образования) под действием γ-глутамилциклотрансферазы на свободную аминокислоту и 5-оксопролин (пироглутаминовая кислота), образование которого почти целиком сдви-
гает реакцию расщепления комплекса вправо. Благодаря возможности ресинтеза глутатиона, требующего затраты энергии АТФ, цикл может повторяться многократно, транспортируя значительные количества аминокислот.