Поверхностное натяжение и парахор
Из ряда попыток найти величины, характеризующие зависимость между строением молекулы и поверхностным натяжением, наибольшего внимания заслуживают работы Сегдена (1924). Он показал, что константа с в найденном А. И. Бачинским (1921) уравнении

выражающем зависимость между поверхностным натяжением σ жидкости, ее плотностью d и плотностью ее пара δ, находится в аддитивной зависимости от структурных элементов молекулы вещества. Произведение Мс1/4 Сегден назвал парахором. Величина парахора (Р) выражается уравнением:

При невысоких температурах, когда плотность жидких веществ очень велика по сравнению с плотностью их паров, выражение
M/(d — δ) обращается в M/d. Таким образом, в этих условиях парахор Р есть мера молекулярных объемов жидкостей при температурах, при которых они имеют одинаковое поверхностное натяжение. Подобно величинам атомных рефракций, были вычислены величины атомных парахоров и инкрементов кратных связей, циклов и пр., суммирование которых дает величины молекулярных парахоров.
Так как величина δ по сравнению с d (для жидкости) весьма мала и ею можно пренебречь, то обычно пользуются выражением

Ниже приведены величины парахоров некоторых структурных элементов:

Парахоры структурных элементов могут быть использованы для вычисления парахора исследуемого химического соединения.
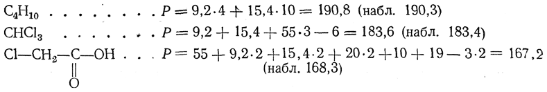
Для иллюстрации можно привести следующие примеры подсчета парахоров:

Сравнивая вычисленное значение парахора с полученным на основе измерений, можно судить о том, правильна ли структурная формула, приписываемая данному соединению. Так, например, методом парахора было показано, что из двух возможных формул паральдегида

правильной является первая. Вычисленное значение парахора для первого вещества равно 300,0, для второго 308,2. Парахор, определенный экспериментально, равен 298,7, т. е. практически совпадает с вычисленным для циклического соединения.
Можно определять парахоры твердых веществ в растворах, пользуясь для расчета выражениями