А —52
52.1. — Ансамбли двух одинаковых циклических углеводородных систем называют любым из двух способов: (а) вводя префикс би- перед названием соответствующего радикала, или (b) для систем, соединенных простой связью, вводя префикс би- перед названием соответствующего углеводорода. В каждом случае нумерация ансамбля соответствует нумерации составляющих радикалов или углеводорода, причем в одной из систем ставятся номера без штрихов, а в другой — со штрихами. Места соединения указываются соответствующими номерами перед названием.
Примеры:


52.2. — Если возможен выбор, то номерами без штрихов обозначают систему, у которой номер атома в месте присоединения меньше.
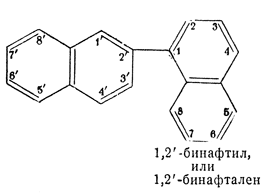
Пример:

52.3. — Если две одинаковые углеводородные системы имеют одинаковые точки соединения и содержат различно расположенные заместители, положение этих заместителей обозначают по правилу А—2.2; с этой целью номер без штриха считается меньшим, чем такой же номер со штрихом. Номера атомов в ансамблях при составлении названий располагают в порядке возрастания.
Примеры:


52.4. — Название бифенил применяется для ансамбля, состоящего из двух бензеновых колец.
