А — 53
53.1. — Ансамбли неодинаковых углеводородных колец называют, выбирая одну из кольцевых систем в качестве основного компонента, рассматривая другие системы как заместители в этом основном компоненте. Такие заместители в названии перечисляют в алфавитном порядке. В основном компоненте атомы обозначают номерами без штрихов, а в заместителях — номерами со штрихами.
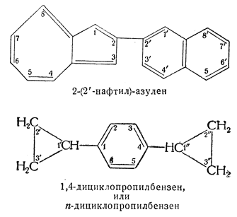
53.2. — При выборе основного компонента последовательно учитывают ряд характеристик. За основу может быть принята:
(а) система, содержащая большее число колец. Примеры:


(b) система, содержащая большее кольцо.

(с) система, наименее гидрогенизированная (см. также правило А—53.3). Пример:

(d) система в соответствии с ее положением в перечне кольцевых систем в правиле А—21.1.
53.3. — Соединения, о которых идет речь в правиле А—53.2 (с), могут быть также названы, как продукты гидрогенизации, в соответствии с правилом А—23.
Пример:
