Габриеля реакция

ГАБРИЕЛЯ РЕАКЦИЯ, синтез первичных аминов алкилированием фталимида К алкилгалогенидами с последующим расщеплением образующегося N-замещенного фталимида:
1088-22.jpg

Для получения алкилфталимидов без р-рителя или в неполярных р-рителях требуется длит. нагревание при 100-200 °С. Применение полярных р-рителей (ацетонитрила, ацетона, ДМФА, ДМСО и др.) позволяет снизить т-ру р-ции (вплоть до комнатной) и использовать вместо фталимида К имид в присут. К2СО3 или Na2COj. Активность алкилгалогенидов падает в ряду: RI > RBr > RС11088-23.jpgRF. При получении низших жирных аминов замена алкилгалогенидов тозилатами (эфирами и-толуолсульфокислоты) часто дает лучшие выходы. Вместо фталимида иногда используют сукцинимид. N - Алкилфталимиды расщепляются нагреванием со щелочами, к-тами или лучше всего с гидразингидратом (особенно в синтезе аминов, содержащих чувствительные к гидролизу группировки):
1088-24.jpg

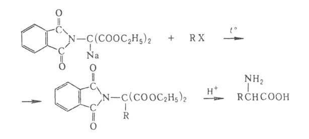
Вариант Габриэля реакции - получение1088-25.jpgаминокислот алкилированием Na-производного фталимидомалонового эфира алкилгалогенидами с послед. гидролизом (наз. также Сёренсена р-цией), напр.:
1088-26.jpg

Габриэля реакция позволяет получать первичные амины без примеси вторичных или третичных. Р-цию широко применяют для синтеза алифатич. и жирноароматич. аминов, аминоалкил-галогенидов, аминоспиртов, аминотиолов, диаминов, аминонитрилов, аминоальдегидов и др. Р-цию наблюдали впервые в 1884 К. Грабе и А. Пикте, с 1887 она подробно изучалась 3. Габриелем.

Литература

Вейганд К., Хилыстаг Г., Методы эксперимента в органической химии, пер. с нем.. М., 1968, с. 413^5; Gibson M.S., Bradshaw R. W., "Angew. Chem.", 1968, Jahr&80, H. 23, S. 986-96. Н.П. Гамбарян.

Синонимы/примеры:* Фталевая кислота; Фталевый ангидрид; 1,2-Бензолдикарбоновая кислота
*подобраны ИИ, возможны неточности