Ацетали и кетали

АЦЕТАЛИ И КЕТАЛИ, простые эфиры неустойчивых геминальных диолов, эфиры гидратированных альдегидов (ацетали) или кетонов (кетали; их наз. также ацеталями кетонов) общей ф-лы RR'C(OR")(OR'"). У симметричных ацеталей и кеталей R" = R'", у несимметричных, смешанных, R" и R'" разные. Соед., у к-рых R" или R'" = Н, наз. полуацеталями (полукеталями). Циклич. ацетали и кетали-продукты взаимод. альдегидов или кетонов с 1,2-гликолями, наз. 1,3-диоксоланами, с 1,3-гликолями-1,3-диоксанами. Сернистые аналоги ацеталей и кеталей общей ф-лы RR'C(SR")(SR'") наз. меркапталями.

Ацетали и кетали - бесцв. жидкости с приятным запахом (см. табл.); раств. в орг. р-рителях, не раств. в воде. В небольших кол-вах содержатся в виноградных винах.

СВОЙСТВА НЕКОТОРЫХ АЦЕТАЛЕЙ И КЕТАЛЕЙ
1043-8.jpg

Ацетали и кетали устойчивы в щелочных средах и очень легко гидролизуются в кислых до альдегидов и кетонов, вследствие чего ацетальную группировку используют для защиты карбонильной группы при проведении р-ций по др. реакц. центрам в нейтральной или щелочной среде; напр., получение1043-9.jpgгидроксиальдегидов из эфиров альдегидокислот:
1043-10.jpg

См. также Защитные группы.

При нагр. ацеталей и кеталей со спиртами или тиолами происходит полный или частичный обмен алкоксигрупп на др. алкоксиили алкилтиогруппы:
1043-11.jpg

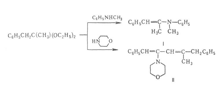
где X = О или S. При взаимод. с первичными аминами, гидразинами или гидроксиламином в кислой среде образуются соотв. алъдимины (или кетимины), гидразоны или оксимы, напр.: RCH(OR')2 + R"NH2 -> RCH=NR", при р-ции со вторичными аминами в присут. n-толуолсульфокислоты - енамины (ф-ла I) или диенамины (II):
1043-12.jpg

Для ацеталей и кеталей, имеющих другие функциональные заместители, характерны внутри- и межмолекулярные циклизации с образованием карбо- или гетероциклич. соединений; напр., ацетали1043-13.jpgкетоальдегидов тримеризуются в производные бензола:
1043-14.jpg

На основе замещенных ацеталей и кеталей получены производные фурана, кумарина, тиофена, пиррола, индола, пиридина, хинолина и мн. др. Осн. методы синтеза ацеталей и кеталей: 1) взаимод. альдегидов и кетонов (как правило, в присут. кислых катализаторов) со спиртами, ортоэфирами или тетраалкоксисиланами:
1043-15.jpg

2) р-ции с участием1043-16.jpgгалогенэфиров, гем-дигалогенидов, гем-диаминов, напр.:
1043-17.jpg

3) присоединение спиртов или ортоэфиров по кратным связям, напр.: СН2=СНОСН3 + СН3ОН -> СН3СН(ОСН3)2.

Последние два метода можно использовать для синтеза разл. карбонильных соед. через стадии получения ацеталей и кеталей с послед. их гидролизом в кислой среде.

Ацетали и кетали-фиксаторы запаха в парфюмерии, флотореагенты (1,1,3-триалкоксипарафины, ацетали акролеина и кротонового альдегида), пластификаторы, моющие средства, смазочные материалы. Некоторые ацетали и кетали обладают биологической активностью; напр., 1,1,3-триэтоксибутан обнаружил высокую противовирусную активность, ацетали хлораля - гербицидное действие, диарилоксиалканы - инсектицидное.

Литература

Яновская Л. А.. Юфит С. С., Кучеров В. Ф., Химия ацеталей, М., 1975. В.Г.Граник.