Арсеназо

АРСЕНАЗО, орг. реагенты, получаемые азосочетанием хромотроповой к-ты с диазонием фениларсоновой к-ты и ее разл. замещенных. Применяют как реагенты для концентрирования, разделения (в частности, осаждением и экстракцией) и определения более 40 элементов. наиб. важные из реагентов этой группы рассмотрены ниже.

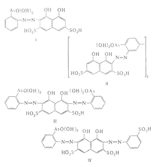
Арсеназо I (урайон, 3-[(2-арсонофенил)азо]-4,5-дигидрокси-2,7-нафталиндисульфокислота; ф-ла I), мол. м. 548,32. Обычно применяют в виде смеси с динатриевой солью и NaCl. Эта смесь представляет собой красно-коричневое в-во, хорошо раств. в воде. АрсеназоЛ разрушается под действием сильных окислителей и восстановителей. Используется как реагент для фотометрич. определения U (IV, VI), Th, Zr, Al, Be, РЗЭ и др., для люминесцентного определения Be. Служит металлохромным индикатором для комплексонометрич. титрования Са и Mg (при рН 10), РЗЭ (рН < 6). Пределы обнаружения элементов с применением арсеназоЛ 0,1-1 мкг/мл.

Арсеназо II (ф-ла И), мол. м. 1094,63. Представляет собой темно-коричневое в-во, раств. в воде. Дает с элементами более прочные комплексы, чем арсеназо I, и поэтому позволяет определять элементы в более кислой области в присут. маскирующих комплексообразующих в-в. Реагент взаимод. в кислых средах с Zr, Hf, Th, Ti, U(IV), Fe(III), в слабокислых и нейтральных средах - с Al, In, Ga, U(VI), РЗЭ, Cu, Be, в щелочных средах - с Са, Mg, Ba, Zn, Cd, Pb.
1039-1.jpg

Арсеназо III (3,6-бис-[(2-арсонофенйл)азо]-4,5-дигидрокси-2,7-нафталиндисульфокислота; ф-ла III), мол. м. 776,35. Темно-красное в-во, умеренно раств. в воде, хорошо-в водных р-рах NaHCO3. При рН < 4 окраска водных р-ров розовая или красно-малиновая, при рН > > 5 - фиолетовая или синяя. АрсеназоIII образует с металлами (М) очень прочные комплексы, что позволяет определять их в кислых средах: M(IV) и M(V) - в 6-10 н. HCl или H2SO4, М(II) и М(III) - при рН 1-4. Р-ции комплексообразования контрастны:1039-2.jpg реагента 540 нм, комплексов-665 нм. Реагент применяют для фотометрич. определения и концентрирования (в т.ч. экстракцией) Zr, Hf, Sc, актиноидов и лантаноидов, V, Са, Ba, Be и нек-рых др. элементов. Фотометрич. методы с использованием арсеназо III характеризуются высокой избирательностью и чувствительностью (предел обнаружения 0,01-0,1 мкг/мл). Реагент широко применяют в непрерывно действующих автоматич. анализаторах.

Арсеназо М (3-[2-арсонофенил)азо]-4,5-дигидрокси-6-[(3-сульфофенил)азо]-2,7-нафталиндисульфокислота; ф-ла IV), мол. м. 732,49. Темно-красное в-во, хороню раств. в воде, хуже - в зтаноле и ацетоне. При рН 31039-3.jpg водных р-ров арсеназо М 540 нм, р-ров комплексов с металлами 640 нм. Реагент применяют для фотометрич. определения La и общей суммы РЗЭ1039-4.jpg, а также Си, Са, Pb . Определению не мешает U.

Лит.; Саввин С. Б., Органические реагенты группы арсеназо III, M., 1971; Саввин С. Б., Кузин Э. Л., Электронные спектры и структура органических реагентов, М., 1974. С.Б.Саввин.

Синонимы/примеры:* Арсеназо I; Неоарсеназо
*подобраны ИИ, возможны неточности