Арилсульфотрансфераза

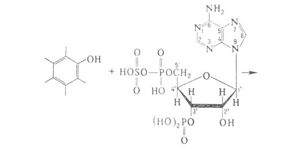
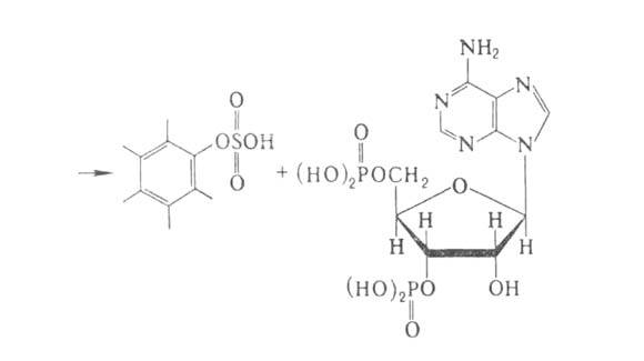
АРИЛСУЛЬФОТРАНСФЕРАЗА (З'-фосфоаденилилсульфат: фенол сульфотрансфераза), фермент класса трансфераз, катализирующий перенос сульфогруппы от 3'-фосфоаденозин-5'-фосфосульфата на производные фенола:
1037-46.jpg
1037-47.jpg

Арилсульфотрансфераза из печени крыс состоит из двух примерно одинаковых по мол. массе (ок. 30,5 тыс.) субъединиц; переносит сульфогруппу на катехоламин, серотонин и тирозин. Оптим. каталитич. активность наблюдается при рН 6,4, фермент активируется ионами Mg2+. Арилсульфотрансфераза осуществляет в организме детоксикацию производных фенола.

Литература

Anderson R.J., Weinsh ilbo urn R. M., "Clinical Chimistry Acta", 1980, v. 103. № 1, p. 79-90; SekuraR.D., JakobyW.B., "Arch. Biochem. and Biophys.". 1981, v. 211, № 1, p. 352-59. Л.Д. Румш.

Комментарии*

Дополнения к описанию арилсульфотрансферазы:

  • Классификация и номенклатура: Относится к семейству сульфотрансфераз (SULT). В систематической номенкларии ферментов имеет номер КФ 2.8.2.1.
  • Биологическая роль: Помимо детоксикации, играет ключевую роль в метаболизме и инактивации широкого спектра эндогенных соединений (нейромедиаторов, гормонов) и ксенобиотиков (лекарственных средств, токсинов окружающей среды).
  • Механизм действия: Катализирует реакцию сульфирования, присоединяя сульфогруппу к гидроксильной группе фенольного субстрата, что значительно увеличивает водорастворимость молекулы и облегчает её выведение из организма.
  • Клиническое значение: Полиморфизмы в генах сульфотрансфераз влияют на индивидуальную вариабельность в метаболизме лекарств и могут быть ассоциированы с предрасположенностью к некоторым заболеваниям, включая онкологические.
*Подобраны с помощью LLM, верифицированы, но возможны неточности.