Аденозинмонофосфат циклический

АДЕНОЗИНМОНОФОСФАТ ЦИКЛИЧЕСКИЙ (аденозин-3',5'-циклофосфат; 3',5'-АМФ; цАМФ), мол. м. 329,22; бесцв. кристаллы;1004-61.jpg — 51°; соли Na, К и аммония хорошо раств. в воде, соли Ag и двухвалентных металлов в воде практически не растворяются.

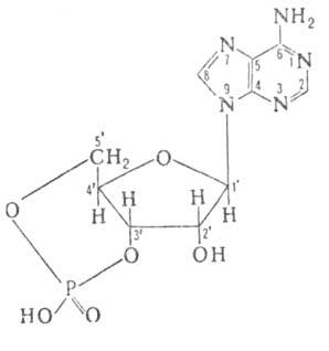
Конфигурация остатка рибозы в цАМФ-С3-эндо-С4-экзо. Циклофосфатное кольцо, конденсированное с рибозным циклом, имеет конформацию кресла. Кристаллич. ячейка состоит из двух молекул, в одной из к-рых аденпновое основание расположено в син-, а в другой-в анти-конформации относительно рибозного кольца. Последняя конформация характерна также для молекул в р-ре.
1004-62.jpg

цАМФ-вторичный мессенджер, т.е. осуществляет ф-ции внутриклеточного посредника в действии первичных мессенджеров-ряда гормонов и медиаторов (передатчиков) нервного возбуждения. Участвует также в регуляции обмена углеводов и липидов, клеточного роста, мембранного транспорта и др. В бактериальных клетках цАМФ, взаимодействуя со специфич. рецепторным белком, вызывает в нем конформационные изменения, в результате чего белок приобретает способность связываться с клеточной ДНК и регулировать активность генов. В клетках высших организмов цАМФ активирует фермент протеинкиназу, к-рый катализирует перенос остатка фосфорной к-ты с АТФ на белок. Активация заключается в связывании цАМФ с регуляторной субъединицей фермента, в результате чего освобождается активная каталитич. субъединица, к-рая и осуществляет р-цию. Протеинкиназа может катализировать фосфорилирование нек-рых ферментов, а также ряда регуляторных и структурных белков, что приводит к изменению их св-в. Так, фермент киназа фосфорилазы b фосфорилируется с образованием активной формы, к-рая сама в свою очередь катализирует фосфорилирование др. фермента-фосфорилазы b. Последняя ускоряет распад гликогена в организме.

цАМФ оказывает влияние и на дефосфорилирование белков, к-рое осуществляется под действием протеинфосфатаз. Так, Протеинкиназа фосфорилирует один из белков, в результате чего он приобретает св-ва ингибировать фосфата-зу1-фермент, катализирующий дефосфорилирование. Метаболизм цАМФ осуществляют два фермента -аденил-атциклаза, катализирующая синтез цАМФ из АТФ, и фосфодиэстераза цАМФ, к-рая катализирует гидролиз цАМФ по З'-фосфоэфирной связи с образованием 5'-аденозинмонофосфата.

Аденозинмонофосфат циклический открыт Э. Сазерлендом в 1957. Его получают циклизацией 5'-аденозинмонофосфата под действием N, N'-дициклогексилкарбодиимида.

Литература

Васильев В. Ю., Гуляев Н. Н., Северин Е. С, "Ж. Всес. хим. об-ва им. Д.И. Менделеева", 1975, т. 20, N? 3, с. 306-22; Ткачук В. А., "Укр. биохим. ж.", 1981, т. 53, № 2, с. 5-27; Sharma R. К., "Progress in Nucleic Acids Research and Molecular Biology", 1982, v. 27, p. 233-88. E.C. Северин. В.Л. Туницкая.

Синонимы/примеры:* Циклический аденозинмонофосфат; цАМФ; циклический 3',5'-аденозинмонофосфат
*подобраны ИИ, возможны неточности