Анзамицины

АНЗАМИЦИНЫ, антибиотики, содержащие в молекулах ароматич. ядро (нафталиновое, реже-бензольное), к к-рому в двух положениях присоединена алифатич. цепь из 15-20 атомов углерода. К прир. анзамицинам относятся рифамицины, стрептомицины, толипомицины, галомицин, гельданомицин, продуцируемые микроорганизмами Nocardia mediterranea, Streptomyces spectabilis, Streptomyces tolypophorus, Micromonospora halophytica, Streptomyces hygroscopicus соотв., а также майтанзиноиды (майтазин, колубринол и др.), выделенные из растений вида Maytenus и Colubrina.

Анзамицины - окрашенные (обычно желтые) кристаллы, не имеющие, как правило, четкой т-ры плавления; раств. в орг. р-рителях (спиртах, ацетоне, СНС13), не раств. в воде. Из культуральной жидкости выделяются экстракцией орг. р-рителями.

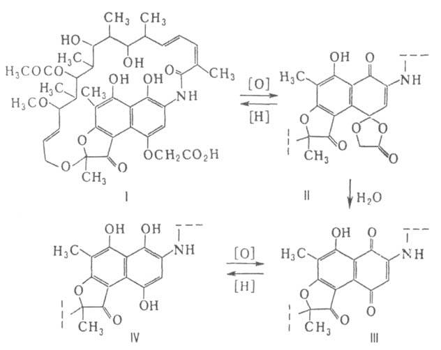
Наиб. интерес представляют рифамицины (см. табл.), нашедшие широкое применение в медицине. Образующийся в результате биосинтеза рифамицин В (ф-ла I) обладает сравнительно слабой биол. активностью; под действием окислителей он превращ. в рифамицин О (II; в ф-лах II - VI не показана алифатич. цепь, одинаковая во всех случаях); при гидролизе последнего отщепляется фрагмент гликолевой к-ты и образуется рифамицин S (III), легко восстанавливающийся аскорбиновой к-той до рифамицина SV (IV):
1031-5.jpg

Соед. II - IV выделены из продуктов жизнедеятельности мутантных штаммов продуцента рифамицина В.

Все рифамицины - малотоксичные в-ва, обладающие биол. активностью в отношении большинства грамположит. бактерий. Особенно интересна высокая активность рифамицинов в отношении микобактерий - возбудителей туберкулеза и проказы.

Синтезированы сотни модифициров. рифамицинов. Все способы модификации, приводящие к изменению конформации алифатич. цепи, сопровождаются снижением биол. активности. Изменяя строение ароматич. части молекулы, получили высокоактивные производные рифамицина В (эфиры, амиды, гидразиды) и рифамицина S (продукты конденсации с алифатич. аминами, гидразинами, о-аминофенолами, о-фенилендиаминами и др.).

Наиб. активные "полусинтетич." рифамицины получены на основе 3-формилрифамицина, или рифальдегида (V), к-рый синтезируют взаимод. рифамицина S с формальдегидом и вторичным амином и послед. кислотным гидролизом образовавшегося аминометильного производного. Оксимы и гидразоны рифальдегида угнетают не только грамположительные, но и ряд грамотрицат. микроорганизмов. Рифампицин (VI), получаемый при взаимод. рифальдегида с N-амино-М-метилпиперазином, обладает исключительно высокой активностью в отношении возбудителя туберкулеза и широко применяется для лечения как туберкулеза, так и других инфекц. заболеваний, в т.ч. проказы. Рифампицин - красные кристаллы (т. пл. 183-188°С, с разл.), хорошо раств. в СНС13 и метаноле, плохо-в ацетоне и воде. В спектре поглощения1031-6.jpg 237, 254, 334 и 475 нм (при рН 7,4).
1031-7.jpg

СВОЙСТВА РИФАМИЦИНОВ
1031-8.jpg

Механизм антибактериального действия анзамицинов заключается в блокировании синтеза РНК в клетках болезнетворных бактерий благодаря подавлению т. наз. ДНК-зависимой РНК-полимеразы - ферментной системы, управляющей синтезом полинуклеотидов, входящих в состав РНК. Нек-рые анзамицины оказывают также противоопухолевое действие, к-рое, однако, недостаточно специфично и проявляется только при использовании больших доз антибиотиков.

Литература

Мезенцев А.С, "Антибиотики", 1975, т. 20, №6, с. 560-71; Brufani M, в кн.: Topics in antibiotics chemistry, v. 1, N.Y.-[a.o.], 1977, p. 91-212. А.С.Мезенцев.

Синонимы/примеры:* Рифамицины; Рифамицин SV; Рифамицин B; Рифомицин
*подобраны ИИ, возможны неточности