Мeервейна-Понндорфа-Верлeя реакция
МEЕРВЕЙНА - ПОННДОРФА - ВЕРЛEЯ РЕАКЦИЯ, восстановление альдегидов и кетонов до спиртов в присут. алкоголятов Аl:

Р-цию чаще всего проводят нагреванием карбонильного соед. с изопропилатом Аl в р-ре безводного изопропанола, реже-бензола или толуола. Р-ция обратима (обратное превращ. наз. Оппенауэра реакцией), равновесие сдвигается вправо при непрерывной отгонке образующегося кетона. Для увеличения скорости р-ции и уменьшения количества побочных продуктов обычно используют избыток алкого-лята Аl.
В р-цию вступают алифатич. и ароматич. карбонильные соединения. Альдегиды восстанавливаются легче кетонов. Электронодонорные заместители увеличивают скорость р-ции. При восстановлении кетонов, содержащих аминогруппы, к-рые могут образовывать комплекс с солями Аl, более эффективным оказывается восстановление в присут. пропилата Na. Для восстановления a-бромкетонов в бром-гидрины (протекающего при низких т-рах) рекомендуется использовать AlCl2OR. Меервейна - Понндорфа - Верлея реакция селективна, связи С=С, сложноэфирные и нитрогруппы, а также галогензаместители восстановлению не подвергаются.
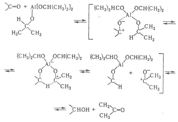
Предполагают, что Меервейна - Понндорфа - Верлея реакция осуществляется через образование комплекса между изопропилатом Аl и карбонильным соед., гидридное перемещение, элиминирование ацетона из комплекса и алкоголиз смешанного алкоголята:

Гидрид-ион присоединяется к карбонильному соед. обычно с пространственно менее затрудненной стороны. Так, при восстановлении циклогексанонов основной продукт р-ции -соответствующий аксиальный спирт. Наряду с восстановлением по вышеуказанному механизму, может протекать конкурирующая р-ция с образованием переходного состояния, включающего два моля алкоголята.
Модификация Меервейна - Понндорфа - Верлея реакции-высокоселективное восстановление альдегидов спиртом в присут. безводного Аl2О3, напр.:

Меервейна - Понндорфа - Верлея реакция широко применяется в орг. синтезе. Р-ция открыта X. Меервейном в 1925 и независимо А. Верлеем в 1925 и В. Понндорфом в 1926.
Исп. литература для статьи «МEЕРВЕЙНА-ПОННДОРФА-ВЕРЛEЯ РЕАКЦИЯ»: Уайлдс А. Л., в кн.: Органические реакции, пер. с англ., сб. 2, М., 1950, с. 194-243. Е. Г. Тер-Габриэлян.