Матричный синтез
МАТРИЧНЫЙ СИНТЕЗ. 1. Полимеризация и поликонденсация, при к-рых строение образующегося полимера и (или) кинетика процесса определяются др. макромолекулами (матрицами), находящимися в непосредств. контакте с молекулами одного или неск. мономеров и растущими цепями. Пример матричного синтеза в живой природе - синтез нуклеиновых к-т и белков, в к-ром роль матрицы играют ДНК и РНК, а состав и порядок чередования звеньев в растущей (дочерней) цепи однозначно определяются составом и структурой матрицы.Термин "матричный синтез" обычно используют при описании синтеза нуклеиновых к-т и белков, а при рассмотрении способов получения др. полимеров пользуются такими терминами, как матричные полиреакции, полимеризация, поликонденсация. Такой матричный синтез реализуется при условии хим. и стерич. соответствия (комплементарности) мономеров и растущей цепи, с одной стороны, и матрицы - с другой; при этом элементарные акты осуществляются между мономерами и растущими макромолекулами (а также олигомерами - при матричной поликонденсации), связанными с матрицей.Обычно мономеры и олигомеры обратимо связываются с матрицей достаточно слабыми межмол. взаимод. - электростатич., донорно-акцепторным и т.д. Дочерние цепи практически необратимо ассоциируют с матрицей ("узнают" матрицу) только после того, как достигнут нек-рой определенной длины, зависящей от энергии взаимод. между звеньями матрицы и дочерней цепи. "Узнавание" матрицы растущей цепью - необходимая стадия матричного синтеза; дочерние цепи практически всегда содержат фрагмент или фрагменты, образовавшиеся по "обычному" механизму, т. е. без влияния матрицы. Скорость матричного синтеза может быть выше, ниже или равна скорости процесса в отсутствие матрицы (кинетич. матричный эффект).Структурный матричный эффект проявляется в способности матрицы влиять на длину и хим. строение дочерних цепей (в т.ч. их стерич. структуру), а если в матричном синтезе участвуют два или более мономера - то также на состав сополимера и способ чередования звеньев.Методом матричного синтеза получают полимер-полимерные комплексы, обладающие более упорядоченной структурой, чем поликомплексы, синтезируемые простым смешением р-ров полимеров, а также поликомплексы, к-рые нельзя получить из готовых полимеров вследствие нерастворимости одного из них. Матричный синтез - перспективный метод получения новых полимерных материалов.Термин "матричный синтез" обычно используют при описании синтеза нуклеиновых к-т и белков, а при рассмотрении способов получения др. полимеров пользуются такими терминами, как матричные полиреакции, полимеризация, поликонденсация.
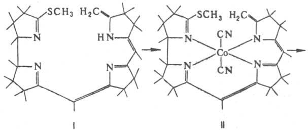
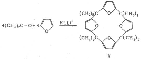
В отсутствие Со соед. I переходит преим. в эндо-изомер, к-рый бесполезен для дальнейшего синтеза. Нужную экзо-структуру (I) закрепляют, получая комплексное соединение (II). Наличие атома Со в комплексе (он необходим и в витамине В12) обусловливает пространств. сближение тиометильной и метиленовой групп, что имеет ключевое значение для образования цикла коррина (III).Важное значение приобрел матричный синтез краун-эфиров в присут. ионов щелочных или щел.-зем. металлов (М). Матричный эффект ионов Мn+ обусловлен их способностью к реорганизации пространств. строения молекулы открытоцепного реагента в конфигурацию, удобную для замыкания цикла. При этом обеспечивается большая прочность координац. связей в переходном состоянии, чем в комплексе Мn+ с открытоцепной молекулой. Возникает прямой предшественник макроциклич. комплекса, в к-ром соблюдается соответствие между диаметром Мn+ и размером полости макроцикла.Ионы атомов металла, размеры к-рых меньше или больше определенного размера (разного для разл. соед.), после осуществления матричного синтеза могут и не входить в координац. полость конечного макроцикла. Так, при конденсации фурана с ацетоном в кислой среде без ионов металла образуется полимер линейного строения; выход циклич. тетрамера IV незначителен. В присут. LiClO4 выход линейного продукта резко падает, а основным направлением становится образование макрогетероцикла IV:
В подобных р-циях связывание катиона металла посторонними и более сильными комплексообразователями, напр. краун-эфирами, блокирует матричный синтез.Если по завершении матричного синтеза ион металла не уходит самопроизвольно, а образовавшийся лиганд принципиально может существовать в своб. виде, встает задача деметаллизации продукта. Этого достигают действием к-т, реагентов, специфично связывающих металлы (цианиды связывают Ni, о-фенантролин - Fe). Иногда деметаллизацию осуществляют, снижая координац. способность металла изменением его валентности с помощью окислит.-восстановит. р-ций.Принципиально важны случаи, когда образуется продукт, координац. связь к-рого с ионом металла слабее, чем связь этого иона с исходными реагентами. Тогда продукт легко "соскальзывает" с иона металла; исходные реагенты образуют с металлом новый комплекс, идентичный первоначальному. К числу таких р-ций принадлежит циклоолигомеризация ацетилена под действием Ni(CN)2. Кол-во атомов С в образующемся цикле зависит от числа молекул ацетилена, координированных у атома Ni, и от их взаимного расположения. Если возникает октаэдрич. шестикоординационныйкомплекс V, в к-ром 4 координац. места заняты p-связанными молекулами ацетилена, то образуется циклооктатетраен:

Если в реакц. среде присутствует РРh3, формируется комплекс VI, в к-ром на долю ацетилена остается лишь 3 своб. места; конечный продукт циклизации - бензол:
В присут. 1,10-фенантролина образуется комплекс VII, в к-ром ацетилен занимает 2 разобщенных положения. Катализатор при этом отравляется и циклизация не происходит.
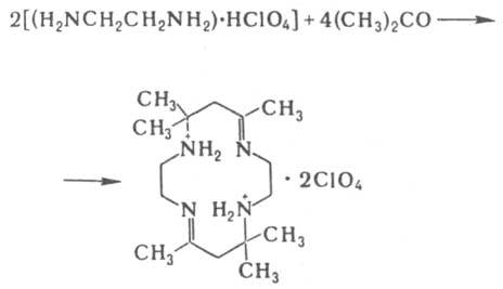
В нек-рых случаях матричный синтез могут вызывать и ионы водорода; макроцикл как бы наращивается на протоны, действующие в паре на таком расстоянии между ними, к-рое минимально допустимо с точки зрения кулоновского отталкивания, напр.:
Матричный синтез имеет важное значение для изучения механизмов р-ций. Кроме чисто топологич. ф-ции подготовки и сближения реакц. центров, ионы металлов стабилизируют неустойчивые промежут. соед., облегчая их выделение и исследование. С помощью матричного синтеза получены многочисл. циклич. соед., используемые в разл. областях.
Литература
Гэрбэлэу Н. В., Реакции на матрицах, Киш., 1980; Дзиомко В. М., "Химия гетероциклических соединений", 1982, № 1, с. 3 18; Mandolini L., "Pure and Appl. Chem.", 1986, v.58, № 11, p. 1485-92. 3. В. Тодрес.
Ещё по теме
Сополиконденсация — основы и применение
Полимеризация — типы, стадии и способы осуществления
Синтетические линейные полимеры — структура и методы получения
Основы органического синтеза — методы и стратегии
Полимеризация — основные аспекты и механизмы процесса
Поликонденсация — механизмы, условия и влияние на молекулярно-массовое распределение полимеров
Биотехнология и генетическая инженерия — синтез РНК и новые организмы
Стереоспецифическая полимеризация — принципы и применение
Матрица в химии и тканевой инженерии
Асимметрический синтез — получение оптически деятельных веществ
Механохимия полимеров — превращения под действием сил
Радикальная полимеризация — механизм и кинетика процесса