Аминоацил-трнк-синтетазы

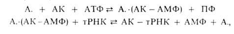
АМИНОАЦИЛ-тРНК-СИНТЕТАЗЫ [аминокислота: тРНК-лигазы (образующие АМФ)], ферменты класса ли-газ, катализирующие аминоацилирование транспортной РНК (тРНК) по схеме:
1024-73.jpg

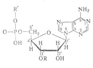
где аминоацил-тРНК-синтетаза - фермент, АК - активируемая аминокислота, АТФ - аденозинтрифосфат, ПФ - пирофосфат, АМФ - аденозинмонофосфат. Карбоксильная группа аминокислоты в АК-АМФ связана ангидридной связью с остатком фосфорной к-ты (см. ф-лу; R'-ацил аминокислоты, R = Н), а в АК - тРНК - сложноэфирной связью с гидроксильной группой в положении 2' или 3' рибозы концевого остатка аденозина тРНК (в ф-ле R'-продолжение цепи тРНК, R-аминоацил):
1024-74.jpg

Каждая аминоацил-тРНК-синтетаза специфична только по отношению к одной из 20 аминокислот, входящих в белки, и к одной или нескольким тРНК.

Большинство аминоацил-тРНК-синтетаз состоит из 1, 2 или 4 одинаковых полипептидных цепей, а глицил- и фенилаланил-тРНК-синтетазы - из 2, отличающихся друг от друга, пар. Мол. м. полипептидных цепей 30-140 тыс., оптимальная каталитич. активность фермента при рН 7-9; р/ обычно 5-6,5. Многие аминоацил-тРНК-синтетазы содержат два активных центра. В индивидуальном состоянии выделены аминоацил-тРНК-синтетазы, специфичные к каждой из 20 аминокислот. Известны первичные структуры нескольких аминоацил-тРНК-синтетаз, определенные в осн. из нуклеотидной последовательности кодирующих их генов, и пространств. структуры тирозил-тРНК-синтетазы и участка молекулы метионил-тРНК-синтетазы, обладающего каталитич. активностью.

Специфичность р-ций, катализируемых аминоацил-тРНК-синтетазами, очень высока, что определяет точность белкового синтеза в живой клетке. Если аминоацил-тРНК-синтетаза осуществит ошибочное аминоацилирование тРНК близкой по структуре аминокислотой, произойдет коррекция путем катализируемого той же аминоацил-тРНК-синтетазой гидролиза ошибочных АК-тРНК до АК и тРНК. В цитоплазме содержится полный набор аминоацил-тРНК-синтетаз, кодируемых ядерным геномом; в хлоропластах и митохондриях есть свои аминоацил-тРНК-синтетазы.

Литература

Киселев Л.Л., Фаворова О.О., Лаврик О.И., Биосинтез белков от аминокислот до аминоацил-тРНК, М., 1984: Спирин А. С., Структура рибо-сом и биосинтез белка, Пущино, 1984. 0.0. Фаворова.