Полидезоксирибонуклеотид-синтетазы
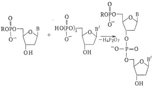
ПОЛИДЕЗОКСИРИБОНУКЛЕОТИД-СИНТЕТАЗЫ, ферменты класса трансфераз, катализирующие образование фосфодиэфирной связи при синтезе ДНК:

R-цепь ДНК, В,В'-остаток пуринового или пиримидинового основания полидезоксирибонуклеотид-синтетаз представлены большой группой ферментов. ДНК-зависимые ДНК-полимеразы участвуют в репликации (удвоении) ДНК в цикле деления клетки, репарации (устранении дефектов) ДНК и репликации ДНК митохондрий и хлоропластов; матрицей для синтеза ДНК, катализируемого этими ферментами, служит односпиральная ДНК. Все семейства, роды и виды известных живых организмов содержат ферменты, не содержащие коферменты, и отличающиеся по мол. массе, кол-ву субъединиц, рН, при к-ром фермент обладает макс. активностью.
Молекула осн. репликативной ДНК-полимеразы Esche-richia coli (E. coli) имеет мол. м. ок. 385 тыс., состоит из 7 разл. субъединиц; помимо активного центра, участвующего в образовании фосфодиэфирной связи (полимеризующий центр), содержит еще один активный центр, катализирующий гидролиз концевой 3'-5'-фосфодиэфирной связи с образованием 2'-дезоксинуклеозид-5'-монофосфата, благодаря чему осуществляется коррекция ошибок в биосинтезе ДНК. Осн. репарац. ДНК-полимераза E. coli-ДНК-полимераза I (мол. м. 109 тыс.); содержит также еще третий активный центр, катализирующий гидролиз ДНК с 5'-конца с образованием моно- и олигодезоксирибонуклео-тидов.
У млекопитающих и человека репликативный синтез ДНК катализируют две ДНК-полимеразы (a и d). Первая из них (репликаза) имеет мол.м. 250-300 тыс., состоит из 3-4 разл. субъединиц, содержит кроме полимеризующего активный центр для синтеза коротких рибоолигонуклеотидов, служащих затравками синтеза ДНК. Др. фермент (d) изучен мало, его мол. м. 150-200 тыс. Осн. репаративную ф-цию у этих организмов выполняют ДНК-полимеразы b (мол.м. 38-40 тыс.), состоящие из одной субъединицы, на к-рой расположен только полимеризующий активный центр. У млекопитающих и человека репликация ДНК в митохондриях осуществляется с помощью ДНК-полимеразы g (мол.м. 150-300 тыс.), состоящей, по-видимому, из одной субъединицы с полимеризующим активным центром.
Среди РНК-зависимых ДНК-полимераз (обратных транскриптаз) наиб. изучены ферменты, продуцируемые ретровирусами (в т.ч. вирусом, вызывающим СПИД), гепаднавирусами (напр., вызывающими гепатит В) и др. Они также сильно различаются по мол. массе, субъединичному составу; содержат полимеризующий активный центр, а иногда также эндорибонуклеазный активный центр, расщепляющий вирусную РНК после окончания синтеза на ней провирусной ДНК.
Концевые дезоксинуклеотидил-трансферазы мало изучены, они осуществляют синтез ДНК без матрицы, состоят из одной субъединицы (мол. м. 62 тыс.), содержащей только полимеризующий активный центр.
Определены первичные структуры ДНК-полимеразы I из E. coli, ДНК-полимеразы b человека и крысы, ряда вирусных обратных транскриптаз и др. Гены нек-рых ДНК-полимераз клонированы и экспрессированы (встроены в генетич. аппарат) в E. coli. Ингибиторы разл. ДНК-полимераз-гл. обр. аналоги 2'-дезоксинуклеозидов и 2'-дезоксинуклеотидов. Нек-рые из них (напр., З'-азидо-З'-дезокситимидин, или азидотимидин) применяют в противовирусной терапии, в т.ч. против СПИДа.
Лит.: Краевский А. А., Куханова M. К., Репликация ДНК у эукариот, в кн.: Итоги науки и техники. Сер. Молекулярная биология, т. 22. M., 1986; Kornberg A., DNA replication, S.F., 1980; его же, DNA replication, Suppl., S.F., 1982. А. А. Краевский.