Ювеноиды

ЮВЕНОИДЫ, синтетич. аналоги природных ювенильных гормонов насекомых (регулируют постадийно развитие последних). Ювеноиды препятствуют превращению личинок в куколки или вызывают появление нежизнеспособных куколок, благодаря чему могут использоваться в качестве средств борьбы с насекомыми, у к-рых вредоносными являются взрослые особи. Яйца насекомых под действием ювеноидов погибают; на взрослых насекомых ювеноиды нередко действуют как хемостерилизаторы.

По хим. природе ювеноиды- производные фарнезола, гераниола, эфиры замещенных С913 -диенкарбоновых и триенкарбоновых к-т и их эпоксипроизводные; существенную роль в активности ювеноидов играет пространств. строение соед. Св-вами ювеноидов обладает также ювабион (ф-ла I), к-рый выделен из бумаги, выработанной из древесины канадской пихты.

6046-33.jpg

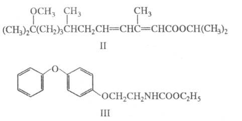
Практически применяют: метопрен (II; ЛД50 34 г/кг) - для борьбы с личинками комаров (в микрокапсулир. форме или в виде концентрата эмульсий), мухами-жигалками, домовыми муравьями, а также для обработки шелковичных червей, что позволяет получать более крупные коконы; феноксикарб (III) - нарушает цикл развития листоверток (норма расхода 600 г/га, ЛД50 10 г/кг для крыс при пероральном введении).

6046-34.jpg

Поиск новых ювеноидов основывается на достижениях в изучении биохимии процессов линьки и метаморфоза.

Лит.: Цизин Ю. С., Драбкина А.А., "Успехи химии", 1970, т. 39, № 6, с. 1074-94; Грапов А. Ф., Путина М. Я., "Ж. Всес. хим. об-ва им. Д. И. Менделеева", 1988, т.ЗЗ, № 6, с. 661-71; Ишмуранов Г. Ю. [и др.], "Успехи химии", 1995, т. 64, в. 6, с. 580-608; Slama К., Romauuk M., Sorm F., Insect hormones and bioanalogues, W.- N. Y., 1974; Chemie der Pflanzenschutz- und Schadlingsbekampfungsmittel, Bd 6, В.- [а. о.], 1981, S. 185-211.

Г. С. Швиндлерман.

Синонимы/примеры:* Ювенильные гормоны насекомых; Ювенины
*подобраны ИИ, возможны неточности