Иммуномодулирующие средства

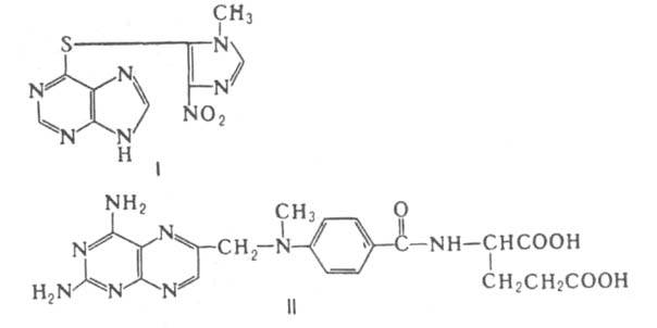
ИММУНОМОДУЛИРУЮЩИЕ СРЕДСТВА (иммунотропные ср-ва), влияют на ф-цию иммунной системы и используются для коррекции нарушений иммунитета. Различают иммунодепрессанты (иммунодепрессоры) и иммуностимуляторы (адъюванты). Деление условно, т. к. действие лек. ср-ва зависит от условий его применения (дозы, режима введения и т. д.), а также от исходного состояния иммунной системы. Нек-рые иммуномодулирующие средства разнонаправленно влияют на отдельные звенья системы иммунитета. К иммунодепрессантам относятся антиметаболиты пуриновых и пиримидиновых оснований нуклеиновых к-т, напр. 6-меркаптопурин и его аналог азатиоприн (имуран, ф-ла I); стероидные гормоны - гидрокортизон, преднизолон (см. Кортикоиды) и 9a-фтор-16a-метилпреднизолон (дексаметазон); противоопухолевые препараты - циклофосфан и антагонист фолиевой к-ты метотрексат (II), для к-рых подавление р-ций иммунитета - побочный эффект; антилимфоцитарные сыворотки и нек-рые прир. соед., напр., циклоспорин А циклич. полипептид, продуцируемый нек-рыми видами грибов.
201_220-93.jpg
Иммунодепрессанты применяют преим. для угнетения иммунологич. р-ции отторжения трансплантанта при пересадках органов и тканей, а также для лечения аутоиммунных заболеваний (ревматоидный артрит, аутоиммунная гемолитич. анемия, системная красная волчанка и др.). Нек-рые лекарства, не относящиеся к иммуномодулирующим средствам, также обладают иммунодепрессивными св-вами, для выявления к-рых сформировалась новая область фармакологии и токсикологии - иммунотоксикология. К иммуностимуляторам относятся разл. биол. продукты и синтетич. в-ва. В числе первых - бактерии, напр., вакцина БЦЖ и Corynebacterium parvum; продукты, выделенные из бактерий и грибов (продигиозан, пирогенал и др.) и их синтетич. аналоги, напр. N-ацетилмурамил-L-аланил-D-изоглютамин (мурамил дипептид); препараты нуклеиновых к-т, напр., нуклеинат Na и синтетич. полинуклеотиды (полиинозинполицитидиловая к-та - поли-И-поли-Ц); разл. фракции, вьщеленные из вилочковой железы, напр., тимозин, тималин, Т-активин, их синтетич. аналоги; фактор, получаемый из костного мозга, - В-активин; интерфeрон и интерфероногены, напр., тилорон. Среди синтетич. иммуностимуляторов - дибазол, левамизол, производные. пиримидина: 4-метил-5-гидроксиметилурацил (пентоксил) и 6-метил-1,2,3,4-тетрагидропиримидин-2,4-дион(метилурацил); производные 9-флуоренона, напр. 2,7-бис-[2-(диэтиламино)этокси]-9-флуоренон и др. Иммуностимуляторы применяют для повышения резистентности организма преим. при хронич. заболеваниях, опухолях, иммунодефицитных состояниях. Лишь немногие иммуностимуляторы получили широкое применение в медицине. Это связано с побочными и токсич. эффектами, недостаточной стандартностью, а также непостоянством стимулирующего эффекта (напр., широко используемый в медицине левамизол при определенных условиях действует не как иммуностимулятор, а как иммунодепрессант). В наст. время наряду с поиском иммуностимуляторов, усиливающих иммунный ответ на прир. антигены, интенсивно разрабатывается получение искусств. антигенов и вакцин, сочетающих в своей структуре антигенную детерминанту (иммуноген) и макромол. носитель. В качестве носителя используют сополимеры винилпиридина и аминокислот, декстраны, монополисахариды и др. Определенные перспективы в качестве иммуностимуляторов имеют интерлейкины.
Литература
Ковалев И. Е., Сергеев П. В., Введение в иммунофармакологию, Каз., 1972; Петров Р. В., Хаитов Р. М., Атауллаханов Р И., Иммуногенетика и искусственные антигены, М., 1983; Иммуносупрессивная химиотерапия, под ред. Д. Нелиуса, пер. с нем., М., 1984; Лазарева Д. Н., Алехин Е. К., Стимуляторы иммунитета, М., 1985; Химия и биология иммунорегуляторов, под ред. Г. И. Чипенса, Рига, 1985. И. Е. Ковалев.