Электролитическая диссоциация

ЭЛЕКТРОЛИТИЧЕСКАЯ ДИССОЦИАЦИЯ, полный или частичный распад молекул растворенного в-ва на катионы и анионы. Электролитической диссоциацией называют также распад на катионы и анионы ионных кристаллов при растворении или расплавлении. Электролитическая диссоциация, как правило, происходит в полярных р-рителях. При электролитической диссоциации разрываются обычно лишь наиб. полярные связи молекул, напр. карбоновые к-ты RCOOH диссоциируют на6031-56.jpg и Н+. Электролитической диссоциацией могут подвергаться молекулы нек-рых р-рителей, напр. воды.
Осн. причинами электролитической диссоциации являются, с одной стороны, взаимод. растворенного в-ва с р-рителем, к-рое приводит к сольватации ионов, а с другой стороны - значит. ослабление электро-статич. взаимод. между сольватир. ионами в среде, обусловленное ее электростатич. полем (диэлектрич. проницаемостью р-рителя). При этом работа, необходимая для разрушения молекул (кристаллич. решетки), обеспечивается за счет энергии сольватации.
Электролитическая диссоциация лежит в основе деления р-ров на два класса - растворы неэлектролитов и растворы электролитов. Наблюдаемое различие в коллигативных св-вах разбавленных р-ров электролитов и неэлектролитов объясняется тем, что из-за электролитической диссоциации увеличивается общее число частиц в р-ре. Это, в частности, приводит к увеличению осмотич. давления р-ра сравнительно с р-рами неэлектролитов, понижению давления пара р-рителя над р-ром, увеличению изменения т-ры кипения и замерзания р-ра относительно чистого р-рителя. Электролитическая диссоциация объясняется также ионная электропроводность электролитов.
Мерой электролитической диссоциации является степень диссоциации6031-57.jpg- отношение кол-ва диссоциированных на ионы молекул электролита к их исходному кол-ву в р-ре. Согласно этому определению,6031-58.jpg изменяется от 0 (отсутствие диссоциации) до 1 (полная диссоциация) и зависит от природы растворенного в-ва и р-рителя, а также от концентрации р-ра и т-ры. Как правило, с увеличением диэлектрич. проницаемости р-рителя6031-59.jpg его6031-60.jpg увеличивается, хотя заметная диссоциация наблюдается в нек-рых р-рителях с низкой6031-61.jpg

Способность данного в-ва MX к электролитической диссоциации в определенном р-рителе по схеме MX6031-62.jpgM+ + Х- характеризуется константой электролитической диссоциации KD, связанной, согласно действующих масс закону, со степенью диссоциации6031-63.jpgсоотношением:

6031-64.jpg

где х: - молярная концентрация электролита;6031-65.jpg- средний ионный коэф. активности;6031-66.jpg- коэф. активности недиссоциированной части электролита. Как и6031-67.jpg значение константы KD зависит от св-в растворенного в-ва, в частности от прочности связи между фрагментами молекул электролита, образующими катион и анион, от диэлектрич. св-в р-рителя, его способности сольватировать ионы, а также от т-ры и давления; в отличие от6031-68.jpg не зависит от концентрации р-ра. Константа KD м. б. определена экспериментально, напр. по зависимости электропроводности р-ра от концентрации электролита или путем прямого измерения содержания своб. ионов в р-ре, напр., спектрофотометрич. методом.
Соответственно понятиям полной и неполной электролитической диссоциации электролиты классифицируют на сильные6031-69.jpg и слабые6031-70.jpg (см. Электролиты), полностью диссоциируют в р-ре многие соли неорг. к-т, нек-рые к-ты и основания. Неполная электролитическая диссоциация наблюдается для солей, катионы к-рых склонны к образованию ковалентных связей с анионами, напр. соли Ag, Cd, Zn. Нек-рые многоосновные к-ты, напр. H2SO4, полностью диссоциируют лишь в отношении отщепления одного иона Н+, а дальнейшая диссоциация6031-71.jpg затруднена. Разб. р-ры слабых электролитов по своим св-вам близки к идеальным р-рам, для них в ф-ле (1) коэф. активности можно считать равными 1. Тогда ф-ла (1) переходит в закон разведения Оствальда:6031-72.jpg

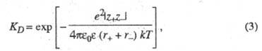
в к-ром а можно заменить отношением6031-73.jpg где6031-74.jpg и6031-75.jpg-соотв. эквивалентная электропроводность р-ра при данной концентрации и при бесконечном разведении. В соответствии с законом Оствальда с уменьшением концентрации р-ра степень диссоциации а и эквивалентная электропроводность возрастают, причем при бесконечном разведении6031-76.jpg и6031-77.jpg (см. Электропроводность электролитов). Р-ры сильных электролитов не являются идеальными и для их описания необходим учет межионного взаимод. даже в области предельного разведения. При определенных условиях, напр. в р-рителях с малой диэлектрич. проницаемостью, при низких т-рах или при образовании многовалентных ионов, благодаря сильному электростатич. притяжению противоположно заряженных ионов могут образовываться ионные ассоциаты, простейшими из к-рых являются ионные пары. Равновесие между сольватир. ионами и ионными парами характеризуется константой диссоциации, аналогично исходному распаду молекул, или обратной ей величиной - константой ассоциации. В приближении электростатич. взаимод. между ионами константа диссоциации контактных ионных пар, образованных двумя ионами с радиусами r+ и r. и зарядовыми числами z+ и z-, м. б. рассчитана по ф-ле:

6031-78.jpg

где е - элементарный электрич. заряд; k - постоянная Больцмана;6031-79.jpg- электрич. постоянная (диэлектрич. проницаемость вакуума) ;6031-80.jpg- диэлектрич. проницаемость р-рителя; Т - абс. т-ра.
Понятие электролитической диссоциации было введено С. Аррениусом в 1887. Электролитическая диссоциация играет важную роль во мн. прир. и производств, процессах, определяя как св-ва р-ров электролитов, так и особенности происходящих в них процессов (см. Реакции в растворах).

Лит.: Измайлов Н.А., Электрохимия растворов, 3 изд., М., 1976; Monk С. В., Electrolytic dissociation, L.-N. Y., 1961.

М. Ф. Головко.