Формазаны
ФОРМАЗАНЫ, содержат в молекуле азогидразонную группировку
(указан порядок нумерации для замещенных формазана). Незамещенный формазан неизвестен. Наиб. распространены 1,5-ди- и 1,3,5-тризамещенные формазана; формазаны, имеющие разные заместители в положениях 1 и 5, существуют в таутомерных формах (ф-лы I и П):

Формазаны проявляют амфотерные св-ва. Так, 1,5-диарилформаза-ны ArN = NCH = NNHAr благодаря легкости диссоциации связи N-H обладают слабокислыми св-вами (для 1,5-дифе-нилформазана рКа 16,5), в сильнокислых средах наличие атомов N обусловливает протонирование формазанов как оснований.
Одна из наиб. важных р-ций формазанов- окисление их с образованием тетразолиевых солей (III; окислители - амилнитрит с HCl, тетраацетат свинца, N-бромсукцинимид, хлор и др.). При восстановлении тетразолиевых солей амальгамой Al и про-пиофеноном в основных и кислых средах образуются своб. радикалы - тетразолилы (IV; последние присутствуют в неочищенных образцах формазанов и тетразолиевых солей):

Конденсация формазанов с алифатич. альдегидами в присуг. к-т или оснований приводит к образованию вердазилиевых ионов, к-рые избытком альдегида в щелочной среде восстанавливаются до вердазилъных радикалов. Последние м. б. получены также алки-лированием формазанов первичными алкилгалогенидами или диалкилсу-льфатом с послед, циклизацией образующихся N-алкилформа-занов в лейковердазилы и окислением O2 воздуха:

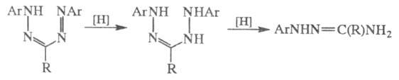
При действии на формазаны восстановителей (сульфид аммония, дитионит Na, фенилгидразин, меркаптаны, LiAlH4) сначала восстанавливается азогруппа с образованием карбогидразиди-на, а затем происходит разрыв связи N-N и образуются амидразоны:

1,3,5-Тризамещенные формазана алкилируются (арилируются) с образованием N-алкил(арил)производных. Формазаны, замещенные в положении 3 на Cl, Br, NO2 и др., вступают в р-цию с нуклеоф. реагентами, давая соответствующие продукты замещения. 1,5-Дизамещенные формазана аминометилируются по атому С в условиях Манниха реакции.
При действии галогенов на 1,5-диарилформазаны происходит замещение водорода метиновой группы с одновременным галогенированием фенильных фрагментов. При нитрозирова-нии образуются С-нитрозопроизводные, существующие в стабильной арилазооксимной форме:

Формазаны образуют с металлами (Cu2+, Co3+, Ni2+ и др.) ярко окрашенные комплексные соединения. Осн. способ получения 1,3,5-тризамещенных формазана- взаимод. диазониевых соед. с гидразонами альдегидов е щелочной среде:

Формазаны могут быть получены окислит. сочетанием производных гидразина (обычно N-замещенных производных бензимидазо-лилгидразина) со спиртами, альдегидами или гетарилгидразо-нами альдегидов либо взаимод. арилгидразинов с хлор- или нитрогидразонами; действием на соед., содержащие активные метильную, метиленовую или метиновые группы, катионов арил- или гетарилдиазония, напр.:

Формазаны применяют в качестве аналит. реагентов, напр. дитизон, цинкон и др. Соли тетразолия используют в биол. исследованиях в качестве акцепторов электронов для индикации окислит.-восстановит. процессов. Комплексы формазанов с металлами -красители текстильных и др. материалов. Так, Co-комплекс ф-лы V дает оливковые (R = R' = NO2), черные и серые окраски (R = R' = Cl или R = NO2, R' = Cl); комплекс ф-лы VI окрашивает шерсть, шелк и полиамидные волокна в темно-синий цвет.


Металлокомплексы формазановых красителей выпускают в Польше под назв. польфаланы.
Лит.: Химия формазанов, M., 1992. А. А. Дудинов, Б. И. Степанов.