Вердазильные радикалы

ВЕРДАЗИЛЬНЫЕ РАДИКАЛЫ (тетрагидро-1,2,4,5-тетразинилы), соед. общей ф-лы I, где R-H, Alk, Аг. Существует традиц. нумерация атомов гетероцикла (показана внутри цикла) и по номенклатуре ИЮПАК (вне цикла); в настоящей статье принята традиц. нумерация.

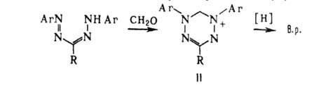
Многие моно-, би- и поливердазильные радикалы выделены в виде высокоплавких кристаллов, к-рые раств. в орг. р-рителях и не раств. в воде. В видимой области поглощают при 600-700 нм. ИК-спектры характеризуются полосой 1145 см-1. Все атомы N находятся в одной плоскости, гетероциклич. кольцо имеет конформацию несимметричной ванны. Длина связей N—N 0,135 нм (для 1,3,5-трифенилвердазила). Спектры ЭПР показывают попарную (1,5 и 2,4) эквивалентность атомов N. Обычно вердазильные радикалы получают из формазанов:
1069-37.jpg
1069-38.jpg

Вердазильные радикалы стабильны в твердом состоянии и в разб. р-рах, в конц. р-рах разлагаются на тетразины и тетразолы. Последние образуются также при термич. разложении и фотолизе вердазильных радикалов. При окислении вердазильных радикалов образуются катионы вердази-лия (ф-ла И); при гидрировании и в присут., напр., аскорбиновой к-ты или H2S вердазильные радикалы превращ. в тетразины. При действии к-т диспропорционируют в тетразины и катионы вердазилия. Для количеств, определения вердазильных радикалов используют потенциометрич. титрование соляной к-той.

Литература

Розанцев Э. Г., Шолле В. Д., Органическая химия свободных радикалов, М., ,1979. , В. Д. Шолле.

Комментарии*

Дополнения к описанию вердазильных радикалов:

  • Механизм стабилизации радикала: Сопряженная система делокализует неспаренный электрон по всем четырем атомам азота в гетероциклическом кольце, что обеспечивает их высокую стабильность.
  • Практическое применение:
    • Используются в качестве спиновых меток и зондов в электронно-парамагнитном резонансе (ЭПР) для исследования структуры и динамики биологических макромолекул и полимеров.
    • Применяются в качестве стабильных радикалов в органическом синтезе и исследованиях кинетики радикальных процессов.
    • Перспективны для создания молекулярных магнетиков и спиновых электронных устройств.
  • Химическое поведение:
    • Способны к обратимым реакциям окисления/восстановления (редокс-превращениям), что делает их интересными для электрохимических применений.
    • Являются предшественниками в синтезе различных производных тетразина.
*Подобраны с помощью LLM, верифицированы, но возможны неточности.