Тиролиберин
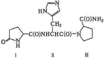
ТИРОЛИБЕРИН [тиреотрогош-рилизинг-фактор(гормон)], пептидный гормон гипоталамуса. Молекула тиролиберина (мол. м. 362) состоит из остатков трех аминокислот -пироглутаминовой (ф-ла I), гистидина (II) и пролинамида (III).

Видовых различий структура тиролиберина не имеет. В организме животных и человека тиролиберин синтезируется в гипоталамусе, попадает через воротную вену в гипофиз и стимулирует в этой железе синтез и секрецию тиреотропного гормона, к-рый, в свою очередь, регулирует секрецию иодсодержащих гормонов тироксина и трииодтиронина щитовидной железой. Тиролиберин оказывает также стимулирующее действие на секрецию гипофизом гормонов пролактина и соматотропина.
Механизм действия тиролиберина на клетки гипофиза включает активацию системы аденилатциклаза - циклический адено-зинмонофосфат. Во взаимодействии тиролиберина с клеточными рецепторами важная роль принадлежит имидазольному кольцу гистидина.
Тиролиберин синтезируется также вне гипоталамуса - в мозге, желудочно-кишечном тракте и др. органах и тканях и может оказывать влияние на их деятельность. Действие тиролиберина на центр. нервную систему может проявляться в определенных поведенческих р-циях. Поскольку тиролиберин найден в разл. отделах центр. и периферич. нервной системы и влияет на ее ф-ции, его относят к группе нейропептидов.
В плазме крови и тканях тиролиберин подвергается быстрой ферментативной инактивации. Период полужизни тиролиберина в плазме крови человека составляет ок. 4 мин.
Путем хим. синтеза получены многочисл. высокоактивные структурные аналоги тиролиберина, среди к-рых пептиды с большей продолжительностью действия, а также со св-вами физиол. антагонистов тиролиберина. Синтезированы и изучаются разл. аналоги тиролиберина с нейротропной активностью.
Синтетич. препараты тиролиберина применяют в медицине.
Лит.: Биохимия гормонов и гормональной регуляции, М., 1976; Эндокринология и метаболизм, пер. с англ., т. 1-2, М., 1985. А. А. Булатов.