Тиоиндигоидные красители
ТИОИНДИГОИДНЫЕ КРАСИТЕЛИ, содержат характерный для тиоиндиго структурный фрагмент тиоиндоксила (ф-ла I). Относятся к индигоидным красителям.

Практич. применение находят: тиоиндиго фиолетовый (ф-ла II), тиоиндиго красно-коричневый Ж (III), тиоиндиго черный (IV), тиоиндиго алый К (V), тиоиндиго алый Ж (VI) и др., а также группа производных тиоиндиго с разл. заместителями в молекуле. Цвет производных тиоиндиго в зависимости от природы и положения заместителей варьирует в широких пределах (ниже указаны заместители и цвет окраски): 5,5'-диэтокси, синий; 6,6'-диэтокси, оранжевый; 6,6'-дихлор, розовый с синим оттенком; 5,5'-дихлор-7,7'-диметил, красно-фиолетовый; 5,5'-диметил-7,7'-дихлор, ярко-розовый с желтым оттенком.

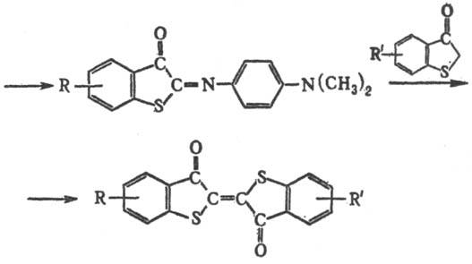
Для получения тиоиндигоидных красителей используют соед., содержащие фрагмент тиоиндоксила. Окислит. конденсация двух одинаковых молекул указанных соед. приводит к симметричным тиоиндигоидным красителям (окислители-О2 воздуха, S, Na2Sx, Вr2, ClSO3H). Конденсация различно замещенных соед. приводит к несимметричным тиоиндигоидным красителям, р-ция протекает по схеме:


Тиоиндигоидные красители нафталинового ряда м. б. получены действием Na2Sx на нафтилметилкетоны без выделения промежут. продукта, напр.:

В бензольном ряду такую р-цию осуществить не удается; исключение составляют о-галогенсодержащие ацетофеноны:

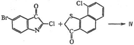
Тиоиндигоидные красители типа IV и V получают исходя из изатина. Так, для получения тиоиндиго черного изатин бромируют, вводят в р-цию с РСl5 и образующийся 5-бром-3-оксо-2-хлориндол конденсируют с соответствующим производным бензо[b]-тиофена:

Конденсация изатина с бензо[b]тиофеном по карбонильной группе приводит к V.
Тиоиндигоидные красители применяют для печати по хлопку, льну, вискозе, для кубового крашения шерсти, хлопка, меха, а также как пигменты в полиграфии. По стойкости к действию окислителей, сильных щелочей и др. тиоиндигоидные красители превосходят индигоидные красители.
Лит.: Чекалин М.А., Химия и технология органических красителей, М., 1956; Степанов Б. И., Введение в химию и технологию органических красителей, 3 изд., М., 1984. И. А. Троянов.