Тетрацианохинодиметан
ТЕТРАЦИАНОХИНОДИМЕТАН (7,7,8,8-тетрацианохи-нодиметан, ТЦХМ, TCNQ), мол. м. 204; желто-зеленые кристаллы. Молекула плоская; параметры кристаллич. решетки: а = 0,891 нм, b = 0,706 нм, с = = 1,6395 им, b = 98,54°, z = 2. Плоти. 1,315 г/см3, т.пл. 296-298°С (из ацетонитри-ла), т. возг. >250°С (в вакууме-200°С). Хорошо раств. в бензоле, СНС13, ацето-нитриле, ТГФ, этилацетате, трудно-в спиртах, не раств. в воде. В твердом виде на воздухе устойчив, в р-рах чувствителен к влаге.

Окислит.-восстановит. св-ва тетрацианохинодиметана: потенциал первой полуволны восстановления E1/2= + 0,127 В, потенциал второй полуволны восстановления Е1/2 = — 0,29 В.
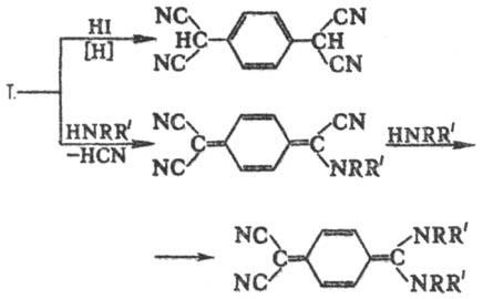
Тетрацианохинодиметан легко вступает в р-ции 1,6-присоединения и замещения по группам CN, напр.:

Как сильная к-та тетрацианохинодиметан склонен к комплексообразованию с разл. основаниями Льюиса. С нек-рыми соед.-донорами электронов (D, напр. дибензотетратиафульваленом, антраценом) тетрацианохинодиметан образует мол. комплексы с переносом заряда типа D · TCNQ0 (см. Молекулярные комплексы), кристаллы к-рых содержат бесконечные стопки чередующихся молекул D и TCNQ. С разл. металлич., орг. и металлоорг. катионами D+ тетрацианохинодиметан образует простые или сложные ион-радикальные соли, соотв.
иотносящие 
В первых электрон полностью перенесен с молекулы донора на молекулу TCNQ и электронный спектр их р-ров содержит полосы поглощения катионов D+ и анион-радикала
; сложные ион-радикальные соли в р-ре диссоциируют с образованием катиона донора, анион-радикала
и нейтральной молекулы TCNQ0. Осн. методы получения анион-радикальных солей -прямое взаимод. металлов с тетрацианохинодиметаном, обменные р-ции солей доноров и солей тетрацианохинодиметана, восстановление тетрацианохинодиметана в присут. катионов, напр.:

Получают тетрацианохинодиметан конденсацией малонодонитрила с цикло-гексан-1,4-дионом с послед. бромированием и дегидробро-мированием в присут. пиридина.
Тетрацианохинодиметан и его соли-активные материалы в источниках тока и разл. устройствах с регистрацией оптич., электрич. и магн. величин (датчики давления, электрохромные индикаторы).
Лит.: Шибаева Р. П., Атовмян П. О., "Ж. структурн. химии", 1972, т. 1, № 3, с. 546; Бесиалов Б. П., Титов В. В., "Успехи химии", 1975, т, 44, в. 12. с. 2249-83; Acker D. S., Hertler W. R., "J. Amer. Chem. Soс.", 1962, v. 84, № 17, p. 3370-74; Shchegolev I. F., "Physics stat solid"(a), 1972, v. 12, p. 9; Torrance J. R., "Ace. Chem. Res.", 1979, v. 12, № 3, p. 79-85.
P. H. Любовская.