Таннины
ТАННИНЫ (танниды) (от франц. tanner-дубить кожу), группа фенольных соед. растит. происхождения, содержащих большое кол-во групп ОН, мол. м. 500-3000; обладают дубящими св-вами. Дубящее действие таннинов основано на их способности образовывать прочные связи с белками, полисахаридами и др. биополимерами (пектиновыми в-вами, целлюлозой).
Таннины содержатся в коре, древесине, листьях и(или) плодах (иногда семенах, корнях, клубнях) мн. растений-дуба, каштана, акации, ели, лиственницы, эвкалипта, чая, гранатового и хинного деревьев, сумаха, квебрахо и др.; придают листьям и плодам терпкий вкус.
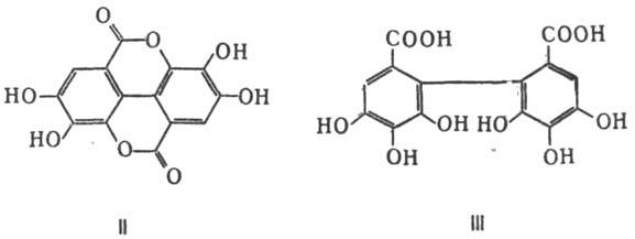
Различают гидролизуемые и конденсированные (негид-ролизуемые) таннины. Основа гидролизуемых таннинов-сложные эфи-ры галловой к-ты или родственных ей дигалловой и тригал-ловой к-т с многоатомным спиртом (напр., глюкозой; ф-ла I). Так, наиб. распространенный китайский таннин-дубящее в-во чернильных орешков (галлов) растения Rhos semialata-содержит гл. обр. смесь эфиров глюкозы и м-дигалловой (пента-м-дигаллоилглюкоза, галлотанниновая к-та) и три-галловой к-т; турецкий таннин- в-во алеппских чернильных орешков дуба зараженного (Quercus infectoria)- смесь эфиров глюкозы и эллаговой (II) и 4,4',5,5',6,6'-гексагидроксиди-феновой (III) к-т.
R=(HO)3C6H2COO, (НО)3С6Н2СООС6Н2(ОН)2СОО, (НО)3С6Н2СООС6Н2(ОН)2СООС6Н2(ОН)2СОО

Таннин такого строения легко гидролизуется к-тами, основаниями и ферментами таннинацилгидролазами с образованием углеводов и фенолкарбоновых к-т; при пиролизе образуют пирогаллол.
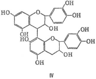
Конденсированные таннины представляют собой производные флаванолов, гл. обр. димеры 3,4-флавандиола или 3-флаванола, напр. ф-лы IV. Под действием к-т и оснований такие таннины не гидролизуются, а образуют нерастворимые, часто окрашенные в красный цвет полимеры; при пиролизе образуют пирокатехин.

Выделяют таннины гл. обр. из коры акации, ели, каштана в виде водного экстракта, содержащего соответственно 36, 16 и 13% таннинов по массе. Таннины подавляют рост патогенных для многих растений микроорганизмов, защищают растения от поедания животными. Используются для дубления кожи и меха, приготовления чернил, протравливания текстильных волокон, как вяжущие лекарственные средства, для придания различным напиткам терпкого и вяжущего вкуса.
Лит.: Кретович В. Л., Биохимия растений, 2 изд., М., 1986; Гудвин Т., Мерсер Э., Введение в биохимию растений, пер. с англ., т. 2, М., 1986, с. 198-200.,