Пуриновые алкалоиды
ПУРИНОВЫЕ АЛКАЛОИДЫ, содержат в молекуле остаток пурина. Широко распространены в растит, и животном мире. Основными их источниками служат чай (Thea sinensis) семейства чайных, кофе (Coffea) семейства мареновых и какао (Theobroma cacao) семейства стеркулиевых. Пуриновые алкалоиды включают более 30 представителей. Наиб. важные -кофеин, теобромин (3,7-диметилксантин, ф-ла I) и теофиллин (1,3-ди-метилксантин, II).

Теобромин представляет собой бесцв. кристаллы, т. пл. 351°С, плохо раств. в воде. (1:700), этаноле, диэтиловом эфире, раств. в водных р-рах щелочей и к-т. Содержится гл. обр. в какао (в кол-ве 1,5-2%) и парагвайском чае (Ilex paraquariensis) семейства падубовых. Теобромин оказывает стимулирующее влияние на сердечную деятельность, расширяет сосуды сердца и мускулатуру бронхов, усиливает мочеотделение. Применяется при спазмах сосудов мозга, реже-при отеках сердечной и почечной этиологии.
Теофиллин-бесцв. кристаллы, т. пл. 268 °С, хорошо раств. в горячей воде (1:85), плохо-в холодной воде (1:180) и этаноле, раств. в водных р-рах к-т. Содержится в осн. в чае, парагвайском чае, кофе и растениях семейства сапин-довых. По фармакологич. действию теофиллин близок к теобромину, отличается более выраженным мочегонным действием. Применяется как бронхолитич. и мочегонное ср-во.
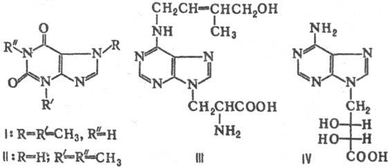
Пуриновые алкалоиды могут иметь в качестве заместителей аминокислотные и моносахаридные фрагменты, напр. лупиновая к-та (III) и эритиденин (IV). Последний проявляет гипохолесте-римич. активность.
Пуриновые алкалоиды получают гл. обр. синтетически, напр. теофиллин-из мочевой к-ты.
Лит.: Орехов А. П., Химия алкалоидов, 2 изд., М., 1955, с. 658; Машков-ский М. Д., Лекарственные средства, 11 изд., т. 1, М., 1988. М. С. Юнусов.