Полиины
ПОЛИИНЫ, орг. соед., содержащие в молекуле не менее трех изолированных или сопряженных связей С
С.
Полиины широко распространены в природе, особенно в растениях семейства сложноцветных. Из растений рода кореопсис выделен ряд полиинов с 13 атомами С, напр. CH3(C
C)5 CH=CH2, CH3CH=CH(C
C)4CH=CH2. В микроорганизмах найдены полииновые антибиотики: биформин H(C
C)3— -CH2CH(OH)CH2OH и агроцибин H(C
C)3CH= =СНСН2ОН. К природным полиинам относят также карбин, аллотропную форму углерода.
Низшие сопряженные полиины-чрезвычайно неустойчивые соед., напр, тетраин H(C
C)4H разлагается при обычных условиях. Олигомерные полиины чувствительны к свету. Их устойчивость увеличивается при замещении концевых водородных атомов алкильными или арильными заместителями (т-ры плавления таких соед. приведены в табл.).
ТЕМПЕРАТУРА ПЛАВЛЕНИЯ (0C) ПОЛИИНОВ ОБЩЕЙ ФОРМУЛЫ 
| n | R = CH3 | R = C(CH3)3 | ||
| 2 | 64 | 130-132 | ||
| 3 | 128 | 70 | ||
| 4 | 80* | 99-100 | ||
| 5 | -5 * | 129-130 | ||
| 6 | -5* | 140 | ||
| 7 | - | 150* | ||
| 8 | - | 130* | ||
| 10 | - | 100* | ||
* Т-ра разложения.
Полимерные сопряженные полиины обладают большой тепло- и термостойкостью (напр.,
-карбин переходит в графит при 2300 0C, не разлагаясь), а также фотоэлектрич. чувствительностью.
В спектрах ИК и комбинац. рассеяния полиинов присутствует характеристич. полоса при 2100-2200 см -1.
Тройные связи в полиинах способны к р-циям присоединения и изомеризации. Олигомерные сопряженные полиины вступают в р-ции нуклеоф. присоединения легче, чем ацетилен. Так, они легко присоединяют HCN, тогда как ацетилен - только в присут. катализаторов. При электроф. присоединении реакц. способность таких полиинов быстро падает с увеличением числа связей С
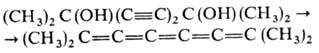
С. Восстановление полииновых спиртов приводит к кумуленам, напр.:

Сопряженные циклич. и линейные полиины способны к твердофаз-ной топохим. полимеризации, при к-рой почти не меняется кристаллич. структура.
В несопряженных полиинах связи С
С обладают одинаковой реакц. способностью и независимы друг от друга.
Получают полиины окислит. димеризацией соответствующих ацетиленовых производных через их медные соли (р-ция Г лазера, ур-ние 1); по Кадио - Ходкевича реакции (2); де-гидрогалогенированием 1,1- или 1,2-дигалогенидов (3):

По р-ции Глазера из ацетилена получают
-карбин.
Для синтеза полимерных полиинов (в т.ч. содержащих связи С
C в боковых цепях) используют р-ции поликонденсации (4), селективной полимеризации разл. мономеров по связям С
С (5) или C=C (6):

Циклические полиины используют для синтеза аннуленов. He-к-рые полиины проявляют бактерицидные св-ва.
Лит.: Сладков A. M., Кудрявцев Ю. П., "Успехи химии", 1963, т. 32, в. 5, с. 509-38; Прогресс полимерной химии. Сборник, под. ред. В. В. Коршака, M., 1969, с. 87-102; Шостаковский M. Ф., Богданова А. В., Химия диацети-лена, M., 1971; Станкевич И. В., Томилин О. Б., "Ж. структурной химии", 1977, т. 18, №4, с. 772-73; Мисин В. M., Черкашин В. M., "Успехи химии", 1985, т. 54, в. 6, с. 956; Коршак В. В. [и др.], "Доклады АН СССР", 1988, т. 300, № 4, с. 889-892. Ю. П. Кудрявцев.