Перкина реакция
ПЕРКИНА РЕАКЦИЯ, получение коричной к-ты или ее производных взаимод. ароматич. альдегидов с ангидридами карбоновых к-т в присут. слабых оснований (щелочных солей карбоновых к-т, третичных аминов и др.):

Р-цию осуществляют обычно при т-ре 80-180 0C. Электро-ноакцепторные заместители (CN, COOCH3, Cl, Br, NO2) в ароматич. альдегиде ускоряют р-цию, электронодонорные (напр., алкил)-замедляют (если заместитель-NR'2, то Перкина реакция не идет). В качестве кислотной компоненты м. б. использованы разл. ангидриды, содержащие в a-положении к карбонильной группе атомы H. Выход р-ции 50-80%. Алифатич. альдегиды в условиях Перкина реакции реагируют с очень маленьким выходом.
Винилог бензальдегида (коричный альдегид) реагирует с уксусным ангидридом с образованием b-стирилакриловой к-ты:

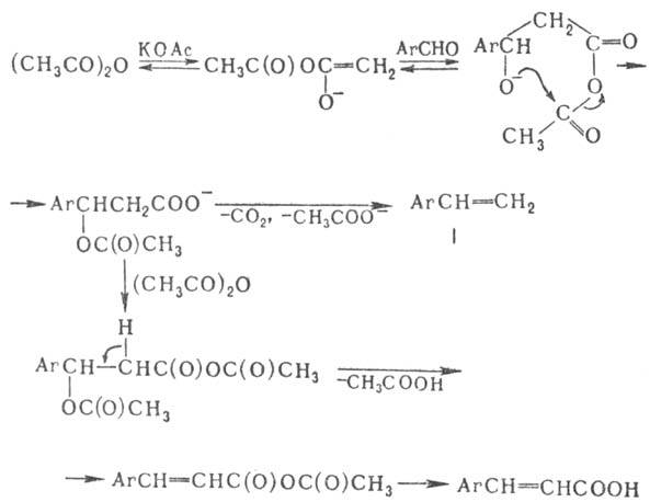
Механизм Перкина реакции обусловлен СН-кислотными св-вами ангидрида карбоновой к-ты и включает стадию его енолиза-ции:

В нек-рых случаях (гл. обр. в зависимости от природы активирующих заместителей в бензольном кольце) арил-этилен (ф-ла I) может стать главным продуктом. Ароматич. диальдегиды (фталевый, изофталевый и тере-фталевый) образуют фенилен-бис-акриловые к-ты, напр.:

При использовании в р-ции салицилового альдегида образуется кумарин:

Для синтеза a-арилкоричных к-т используют также уксусный ангидрид и соль щелочного металла соответствующей карбоновой к-ты (модификация Ольялоrо):

В условиях Перкина реакции производные коричной к-ты образуются при взаимод. бензальдегида с солями дикарбоновых к-т, напр.:

Р-цию ароматич. или алифатич. альдегидов с Na-солью янтарной к-ты или янтарным ангидридом используют для получения параконовых к-т (модификация Fиттига), напр.:

В р-цию, подобную Перкина реакции, вступают гетероароматич. альдегиды, напр. фурфурол, 2-тиофенкарбальдегид и др. Р-ция открыта У. Г. Перкином-старшим в 1868.
Лит.: Органические реакции, пер. с англ., сб. 1. M., 1948, с. 267-344;· Ошкая В. П., Ангидридная конденсация, Рига, 1973; Общая органическая химия, пер. с англ., т. 2, M., 1982, с. 727-28. А. А. Соловьянов.