Орнитиновый цикл
ОРНИТИНОВЫЙ ЦИКЛ (цикл Кребса-Хензелейта, цикл мочевины), циклич. последовательность ферментативных р-ций, в результате к-рых происходит ассимиляция NH3 (в виде NH+4 ) и синтез мочевины (см. схему), к-рая выводится из животного организма.
Один из путей поступления
в орнитиновый цикл-р-ции пере-аминирования (трансаминирования) и окислит, дезамини-рования.
В печени, где осуществляется орнитиновый цикл, происходит окислит, дезаминирование глутаминовой к-ты с образованием NH4+, к-рое катализируется глутаматдегидрогеназой:

НАД (НАДФ) и НАДН (НАДФН)-соотв. окисленная и восстановленная формы никотинамидадениндинуклеотида (никотинамидадениндинуклеотидфосфата) Образующийся
поступает в орнитиновый цикл или используется организмом для синтеза аминокислот (в результате обратимости приведенных р-ций).
Из мн. периферич. тканей (в т. ч. из мозга)
поступает в печень в виде глутамина, к-рый в отличие от глутаминовой к-ты способен легко проникать через клеточные мембраны и транспортироваться кровью в печень, где под действием глутаминазы превращ. в глутаминовую к-ту и
:

Образующийся в мышцах
(в результате расщепления аминокислот, дезаминирования аденозинмонофосфата и др.) вступает в р-цию с 1-оксоглутаровой к-той с образованием глутаминовой к-ты, в результате переаминирования к-рой (с участием пирувата) образуется аланин. Последний поступает в печень, где в результате трансаминирования с участием 1-оксоглутаровой к-ты образуется глутаминовая к-та.
Первая стадия ассимиляции
(начало орнитинового цикла)-синтез карбамоилфосфата (см. схему, р-ция I). Р-ция необратима и катализируется карбамоилфосфат-синтетазой, к-рая активна только в присут. N-ацетилглутаминовой к-ты. Необходимый для этой р-ции СО2 образуется в трикарбоновых кислот цикле.
Константа равновесия р-ции образования цитруллина из орнитина и карбамоилфосфата (II), катализируемая орнитин-карбамоилтрансферазой, настолько велика, что орнитин практически полностью переходит в цитруллин.
Биосинтез аргининосукцината (III) катализируется арги-ниносукцинат-синтетазой, в присут. к-рой уреидогруппа активируется с участием АТФ:

А-остаток аденозина, РР-пирофосфорная к-та
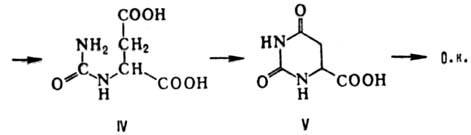
Отщепление аргинина с образованием фумаровой к-ты (IV) катализируется аргининосукцинат-лиазой. Ключевое звено цепи превращений в орнитиновом цикле-гидролиз аргинина (V) на орнитин и мочевину, к-рая выводится из организма через почки. Р-ция катализируется аргиназой, к-рая активна в присут. Со2+ или Мn2+ . Т. обр., благодаря орнитиновому циклу организм освобождается от токсичных для него продуктов-
и СО2 ("отходов" обмена в-в).

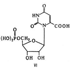
Орнитиновая кислота -единственное соед. с уже сформир. пиримидино-вым циклом, к-рое используется для дальнейшего синтеза пиримидиновых нуклеоти-дов при его поступлении с пищей или с мед. препаратами (свободные урацил, цито-зин и тимин не утилизируются в тканях). Синтез нуклео-тидов осуществляется путем присоединения к орнитиновой кислоте. D-рибозил-5-фосфата, источником к-рого является 5-фосфори-бозил-1-пирофосфат. Образующийся при этом оротидин-5'-фосфат (оротидиловая к-та; VI) подвергается декарбоксилированию с образованием уридин-5'-фосфата (урациловой к-ты). Последний превращ. в уридинтрифосфат (УТФ), из к-рого образуются цитидин-трифосфат (путем замены в УТФ группы ОН в положении 4 на группу NH2) и тимидинтрифосфат (метилированием УТФ в положение 5).

Орнитиновая кислота -фактор роста (незаменимое пищ. в-во) для нек-рых микроорганизмов, неспособных к ее синтезу. У человека и животных осуществляется биосинтез этого соед., и поэтому орнитиновая кислота не является для них витамином.
Эндогенный синтез орнитиновой кислоты полностью покрывает физиол. потребность в ней организма. Однако в условиях, предъявляющих повыш. требования к интенсивности синтеза нук-леотидов и нуклеиновых к-т (напр., в период интенсивного роста, после операции, кровопотерь), необходимо ее дополнит. введение.
В пром-сти орнитиновую кислоту получают окислением 4-метилурацила. Ее определение осуществляют микробиологически с использованием Lactobaciblus vulgaricus 09, спектрофотометрически (после предварит. выделения методами хроматографии) или ферментативными методами.
Орнитиновую кислоту в виде оротата калия применяют в медицине при заболеваниях сердца, печени и др. случаях, связанных с нарушением белкового обмена.
Лит.: Раскин И. М., в кн.: Витамины, М., 1974, с. 470-81.
В. Б. Спиричев.