Октоген
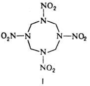
ОКТОГЕН (1,3,5,7-тетранитро-!,3,5,7-тетраазациклооктан, циклотетраметилентетрамин, НМХ), :соед. ф-лы I, термостойкое бризантное ВВ, мол. м. 296,1; бесцв. кристаллы; т. пл. 278,5-280 °С (с разл.);
— 74,9 кДж/моль. Существует в 4 кристаллич. модификациях.
-Октоген -кристаллич. решетка моноклинная (а = 0,650нм, b=1,093нм, с = = 0,732 нм,
= 103,3°), стабилен при комнатной т-ре, существует до 115°С, плотн. 1,92 г/см3; a-октоген-кристаллич. решетка орторомбиче- ская (а = 1,540 нм, b = 2,389 нм, с = 0,593 нм), метастабилен при комнатной т-ре, существует от 115 до 156°С, плотн. 1,87 г/см3;
-октоген-кристаллич. решетка моноклинная (а = 0,1095 нм, b = 0,793 нм, с = 1,461 нм,
= 119,4°), метастабилен при комнатной т-ре, существует при ~ 156°С, плотн. 1,82 г/см3;
-октоген-кристаллич. решетка гексагональная (а = 0,766 нм, с = 0,3249 нм), нестабилен при комнатной т-ре, существует от 156°С до т-ры плавления, плотн. 1,76 г/см3. Для наиб. стабильной b-модификации (по зарубежным данным)
взрыва — 5526 кДж/моль, скорость детонации 9124 м/с (при плотн. 1,9 г/см3); объем газообразных продуктов взрыва 782 л/кг; обладает высокой чувствительностью к удару; т. всп. 337 °С.

Октоген практически не раств. в метаноле, этаноле, бензоле, диэтиловом эфире, воде; р-римость (% по массе) в ацетоне при 22 °С 2,1, при 50 °С 4,0. С ДМФА, диме-тилацетамидом, диметиланилином октоген образует мол. комплексы.
Октоген химически относительно инертен. При обработке р-ром щелочи в водном ацетоне или конц. р-рами минер, к-т подвергается гидролизу. Устойчив на свету.
Получают октоген гл. обр. действием на гексаметилентетрамин (уротропин) конц. HNO3 в среде СН3СООН, (СН3СО)2О и NH4NO3 (выход 40-50%). От примесей гексогена октоген очищают, напр., переводом его в комплексы обработкой ДМФА, к-рые после фильтрования разрушают водой. При перекристаллизации продукта
-модификацию выделяют при медленном охлаждении горячего насыщ. р-ра октогена в ацетоне, ацетонитриле или нитрометане; a-модификацию-при кристаллизации из тех же р-рителей при быстром охлаждении.
Октоген в индивидуальном виде и в виде разл. смесей используют при взрывных работах в высокотемпературной среде-в глубоких и сверхглубоких скважинах, при разгрузке и ремонте доменных печей. Смесь октогена с тротилом -октол-компонент твердых ракетных топлив. Октоген, флегматизированный нек-рыми полимерами, парафином, церезином и др., применяют для снаряжения боеприпасов. Н.А.Орлова.