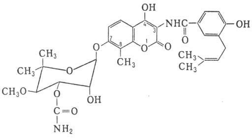
Новобиоцин
НОВОБИОЦИН (альбамицин, биотексин, карделимицин и др.), см. ф-лу, мол. м. 612,63, бесцв. кристаллы горького вкуса, существует в двух кристаллич. модификациях с т.пл. 174-178°С (с разл.) и 152-156°С (с разл.); [a]D24 - 63° (в этаноле), - 27° (в 1 н. р-ре NaOH), - 44° (в пиридине); плохо раств. в воде, хорошо - в метаноле, ацетоне, этилацетате и пиридине. В водном р-ре рКа 4,3 и 9,1; с неорг. и орг. основаниями образует соли; соли щелочных металлов хорошо раств. в воде.
УФ спектр р-ра новобиоцина сильно зависит от рН среды. Так, в 0,1 н. НСl максимум наблюдается при 324 нм (el 390), в 0,01 н. р-ре H2SO4 в этаноле-при 334 нм, в 1%-ном фосфатном буферном р-ре с рН 6-при 238, 250, 290 и 304 нм, в 0,01 н. р-ре КОН в этаноле-при 311 нм, в 0,1 н. р-ре NaOH-при 230 нм.
Новобиоцин продуцируется S.griseus, S.griseoflavus, S.niveus, S.sphero-ides. Накапливается в культуральном фильтрате, из к-рого выделяется экстракцией амилацетатом. После отделения мицелия при рН 8 и подкисления до рН 6 новобиоцин переводят в водный слой при рН 10, вновь экстрагируют амилацетатом при рН 6 и осаждают прибавлением ацетона и петро-лейного эфира. Новобиоцин очищают перекристаллизацией из водного ацетона или этанола, а также из смесей ацетона и этанола с петролейным эфиром.
Количественно новобиоцин определяют с помощью биол. методов анализа, спектрофотометрии (в виде окрашенного соед., образующегося в присут. трихлорхинонимина) и бумажной хроматографии. Новобиоцин-антибиотик, применяется при лечении пневмонии, разл. инфекций тканей легких и нек-рых др. заболеваниях.

Новобиоцин умеренно токсичен; ЛД50 (мг/кг) для мышей 407-424 (внутривенно), 262-300 (внутрибрюшинно), 960-1100 (перо-рально).
Лит.: Химия антибиотиков, 3 изд., т. 1, М., 1961, с. 531. С. Е. Есипов.