Амикацин

Синонимы:
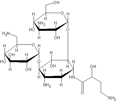
(S)-O-3-амино-3-дезокси-альфа-D-глюкопиранозил-(1-6)-O-(6-амино-6-дезокси-альфа-D-глюкопиранозил-(1-4)-N1-(4-амино-2-гидрокси-1-оксобутил)-2-дезокси-D-стрептамина сульфат Внешний вид:
бел. кристаллыБрутто-формула (система Хилла): C22H43N5O13
CAS №: 37517-28-5
Молекулярная масса (в а.е.м.): 585,6
Растворимость (в г/100 г или характеристика):
вода: легко растворимМеханизм действия:
Связывается с 30S субъединицей рибосом и блокирует синтез белка, препятствуя образованию комплекса транспортной и матричной РНК (бактериостаз).
В больших концентрациях нарушает барьерные функции цитоплазматических мембран и вызывает гибель микроорганизмов.
Применение:
Лекарственное средство: антибактериальное.
- "Регистр лекарственных средств России: Энциклопедия лекарств" 8-е изд., М., 2001 стр. 71-72
Источники информации:
Синонимы/примеры:*
Амикин; Амикозит; Селемицин
*подобраны ИИ, возможны неточности
Ещё по теме
Амикацин — инструкция и применение
Амикацина сульфат — свойства и применение
Аминокапроновая кислота — свойства и применение
Аминокапроновая кислота — инструкция по применению
Аминокапроновая кислота — свойства и применение
Амфотерицин В — инструкция по применению
Амбен — применение и противопоказания
Аминокапроновая кислота — свойства и применение
Амосин — инструкция по применению
Амфотерицин В — инструкция по применению
Амфотерицин В мазь — инструкция по применению
Циклогексиламин — характеристики и применение
Ликацин — инструкция по применению и особенности препарата
Ацетамид — свойства и применение
Амбен — инструкция по применению и особенности препарата
Ивимицин — инструкция по применению и особенности препарата