Каррагинаны

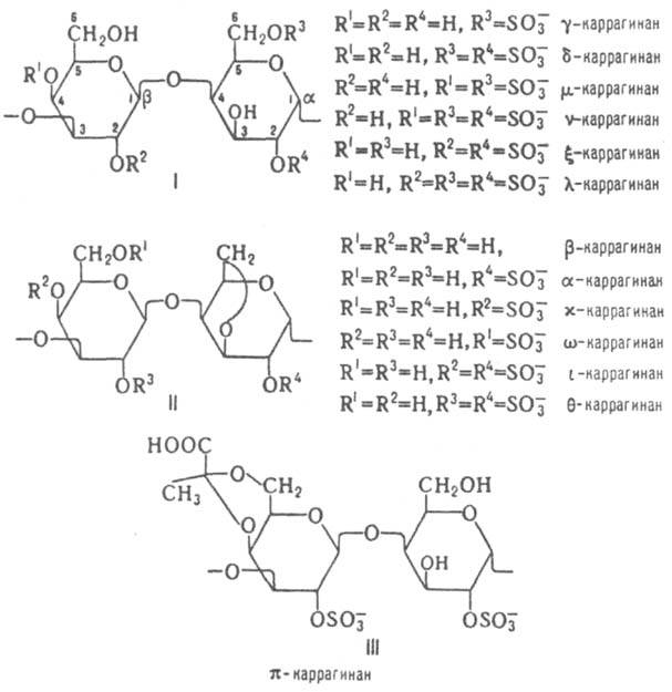
КАРРАГИНАНЫ, группа неразветвленных сульфатированных полисахаридов, молекулы к-рых построены из остатков производных D-галактопиранозы со строгим чередованием a-1 : 3- и b-1 : 4-связей между ними (т.е. из дисахаридных повторяющихся звеньев); содержатся в красных морских водорослях. Различия между отдельными представителями каррагинанов обусловлены тем, что в качестве 4-О-замещенного моносахаридного остатка может выступать не только D-галактоза (ф-ла I), но и 3,6-ангидро-D-галактоза (II), группы ОН м. б. сульфатированы, изредка метилированы, а в качестве 3-О-замещенного остатка в молекуле иногда содержится 4,6-О-(1'-карбокси)этилиденовое производное D-галактозы (III). Каррагинаны, построенные из наиб. часто встречающихся дисахаридных повторяющихся звеньев, принято обозначать греч. буквами.
322_339-43.jpg

Каррагинаны, как правило, являются "мол. гибридами", содержащими в одной молекуле неск. типов дисахаридных повторяющихся звеньев. Такое строение объясняется своеобразным биосинтезом каррагинанов, в процессе к-рого регулярный полимер D-галактозы, образующийся на первой стадии, подвергается далее сульфатированию, а затем происходит отщепление сульфата из 6-го положения 4-О-замещенных остатков a-D-галактозы с образованием остатков 3,6-ангидро-a-D-галактозы; т.обр., структуры g-, d-, m-, n- и l-каррагинанов - биогенетич. предшественники структур b-, a-, (-, i- и q-каррагинанов соответственно. Две последние стадии биосинтеза (постполимеризац. модификация) могут протекать не полностью, что и приводит к образованию мол. гибридов. Каррагинаны - аморфные бесцветные или слегка окрашенные в-ва с мол. массой от неск. сотен тыс. до неск. млн., обычно с высоким содержанием сульфата (/ 20%). В виде Na-солей раств. в холодной воде с образованием вязких р-ров. Каррагинаны с большим содержанием 3,6-ангидро-D-галактозы ((-, i-каррагинан и др.) в присут. К+ , Rb+, Cs+ образуют термообратимые гели, к-рые плавятся при нагр. выше 50-75 °С. Гелеобразование объясняется ассоциацией участков молекул, имеющих регулярную структуру и упорядоченную спиральную конформацию, с участием подходящего по размерам катиона. Св-ва гелей определяются строением и протяженностью таких участков; наиб. прочные гели дает (-каррагинан в присут. К+ . Поскольку образование остатков 3,6-ангидро-D-галактозы происходит на заключит. стадии биосинтеза, очевидно, что гелеобразующие св-ва каррагинанов в водорослях находятся под метаболич. контролем. Каррагинаны, содержащие 3,6-ангидро-D-галактозу, легко расщепляются при нагр. с разб. к-тами в результате повыш. лабильности гликозидных связей этого моносахарида с образованием 4-О-b-D-галактопиранозил-3,6-ангидро-D-галактозы (каррабиозы). В условиях полного кислотного гидролиза, освобождающего галактозу, 3,6-ангидрогалактоза разрушается При действии на каррагинаны щелочи отщепляются сульфатные группы в положении шесть 4-О-замещенных остатков a-D-галактозы с одновременным замыканием 3,6-ангидроцикла (р-ция, идентичная заключит. стадии биосинтеза каррагинанов). Для идентификации дисахаридных повторяющихся звеньев в молекулах каррагинанов используется спектроскопия 13С-ЯМР, реже - иммунологич. р-ции со специфич. антителами. Сведения о распределении разл. звеньев вдоль цепи полимера можно получить при ферментативном гидролизе каррагинанов; наиб. известны (- и i-каррагиназы бактериального происхождения, к-рые расщепляют участки молекул, имеющие структуру, (- или i-каррагинан, с образованием соответствующих сульфатов 3,6-ангидро-a-D-галактопиранозил-(1 : 3)-D-галактозы (неокаррабиозы) и ее высших олигомергомологов. Каррагинаны содержатся, как правило, в красных водорослях, относящихся к порядку гигартиновых (Gigartinales). На полисахаридный состав кроме видовой принадлежности могут влиять условия обитания водорослей; во мн. случаях отмечено существенное различие в составе каррагинанов между разными генерациями (гаметофитами и спорофитами) одного и того же вида. Для пром. получения каррагинанов используют водоросли родов хондрус (Chondrus), гигартина (Gigartina), гипнеа (Нурпеа); в СССР полисахариды группы каррагинанов получают из черноморской филлофоры (Phyllophora nervosa) и балтийской фурцеллярии (Furcellaria fastigiata). Каррагинаны извлекают из водорослей горячей водой, часто в присут. разб. щелочи или соды, что облегчает экстракцию и приводит к элиминированию сульфата с образованием 3,6-ангидрогалактозы, а следовательно, к улучшению гелеобразующих св-в. Каррагинаны используют в пищ. пром-сти как стабилизаторы белковых р-ров и гелеобразователи при изготовлении разнообразных молочных и кондитерских изделий (иногда в комбинации с др. гелеобразующими полисахаридами), а также при изготовлении фармацевтич. препаратов и косметич. ср-в. Мировое произ-во каррагинанов ок. 13000 т/год (1986).
Литература
Усов А. И., в сб.: Прогресс химии углеводов, М., 1985, с. 77-96; Towle G. A., в кн.: Industrial gums, 2 ed, by R. L. Whistler, N.Y.-L, 1973, p. 83-114; Painter T. J., в кн.: Polysaccharides, ed. by G. O. Aspinall, v.2, N.Y., 1983, p. 195-285. А. И. Усов.

Синонимы/примеры:* Каррагинан; Ирландский мох; Карраген; Каррагин
*подобраны ИИ, возможны неточности