Инициирующие взрывчатые вещества

ИНИЦИИРУЮЩИЕ ВЗРЫВЧАТЫЕ ВЕЩЕСТВА (первичные ВВ), легко взрываются под действием простого начального импульса (удар, трение, луч огня) с выделением энергии, достаточной для воспламенения или детонации бризантных взрывчатых веществ (вторичных ВВ). Инициирующие взрывчатые вещества, используемые для воспламенения, как правило, обладают высокой скоростью горения; характерная особенность инициирующих взрывчатых веществ, применяемых для возбуждения детонации, - легкий переход горения во взрыв в тех условиях (атм. давление, непрочная оболочка или ее отсутствие, малые заряды), в к-рых такой переход для вторичных ВВ не происходит. Это различие связано с тем, что уже при атм. давлении хим. превращение инициирующих взрывчатых веществ, по сравнению с др. ВВ, завершается очень быстро с выделением макс. кол-ва тепла и образованием газов, имеющих высокую т-ру, что приводит к быстрому подъему давления и образованию детонац. волны. Требования, предъявляемые к инициирующим взрывчатым веществам: высокая инициирующая способность, обеспечивающая безотказное возбуждение взрыва в заряде вторичного ВВ при малых кол-вах инициирующих взрывчатых веществ; безопасность в обращении и применении; хорошая сыпучесть и прессуемость, необходимые для точной дозировки (по объему) малых навесок инициирующих взрывчатых веществ и предупреждения высыпания его из готовых изделий; высокая хим. и физ. стойкость; совместимость с вторичными ВВ и конструкц. материалами; влагостойкость. Инициирующие взрывчатые вещества могут быть индивидуальными соед. или смесями. Индивидуальные инициирующие взрывчатые вещества обычно содержат в молекуле атом металла, выполняющий роль катализатора при горении, или группу атомов, при разложении к-рой выделяется большое кол-во тепла.
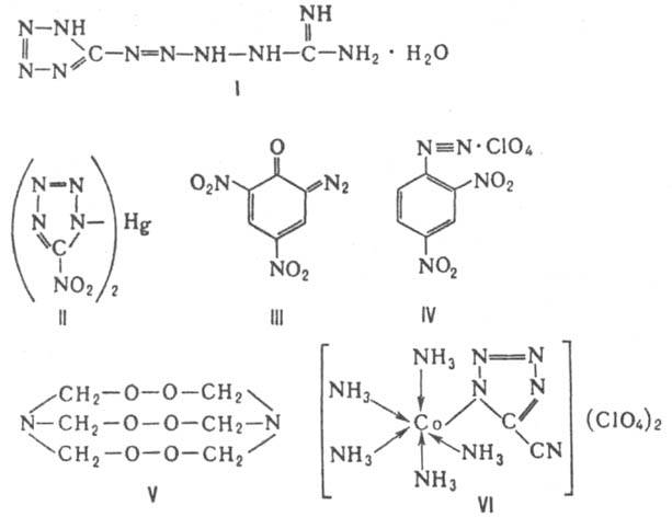
Важнейшие представители индивидуальных инициирующих взрывчатых веществ: фульминаты тяжелых металлов, напр. гремучая ртуть Hg(ONC)2, соли и др. производные азотистоводородной к-ты, напр., свинца азид Pb(N3)2, циануртриазид C3N12; соли тяжелых металлов нитрофенолов, напр., ди- и тринитрорезорцинат Рb, пикрат Рb; нек-рые производные тетразена, напр. соед. ф-лы I, наз. в технике тетразен; производные тетразола, напр. II; ацетилениды металлов, напр. Ag2C2; нек-рые диазосоединения, напр. III и IV; орг. пероксиды, напр. V; комплексные соед. перхлоратов и хлоратов переходных металлов с производными тетразола, напр. VI, и др.

221_240-48.jpg
В технике применяют гл. обр. татразен, гремучую ртуть, азид и тринитрорезорцинат свинца. С м е с е в ы е инициирующие взрывчатые вещества состоят из неск. компонентов, хотя бы один из к-рых является окислителем, а другие - горючим; кроме того, они обычно содержат добавочные компоненты, увеличивающие чувствительность состава к начальному импульсу, улучшающие прессуемость и сыпучесть, увеличивающие влагостойкость и т. п. Содержание компонентов обусловлено требованиями, предъявляемыми к инициирующим взрывчатым веществам. Так, смесевое инициирующее взрывчатое вещество для капсюлей-воспламенителей ударного действия содержит 16-28% гремучей ртути, 36-55% КСlО3 и 28-37% Sb2S3. Способность инициирующих взрывчатых веществ, взятых в небольшом кол-ве, вызывать детонацию др. ВВ называют их инициирующей способностью. Она характеризуется предельным инициирующим зарядом, т.е. минимальным кол-вом инициирующего взрывчатого вещества, способным в определенных условиях вызвать детонацию вторичного ВВ. Для тетрила в нек-рых условиях предельный инициирующий заряд азида свинца составляет 0,025 г, гремучей ртути - 0,29 г, для тротила - соотв. 0,09 и 0,36 г. Инициирующая способность инициирующего взрывчатого вещества при одном и том же вторичном заряде и использовании при одних и тех же условиях зависит от его плотности, степени чистоты, размера кристаллов, условий снаряжения, конструкции заряда и изделия и др. Инициирующие взрывчатые вещества применяют в военной технике и взрывном деле в виде малых (доли грамма) зарядов, помещенных в спец. конструкции - т. наз. капсюли-детонаторы и капсюли-воспламенители, к-рые предназначены для возбуждения детонации вторичных ВВ или для воспламенения порохов и пиротехн. составов. В капсюлях-детонаторах, как правило, применяют индивидуальные соед., а в капсюлях-воспламенителях - разл. смеси, один из компонентов к-рых - инициирующее взрывчатое вещество. Произ-во инициирующих взрывчатых веществ и обращение с ними требуют особых мер предосторожности из-за большой опасности возникновения взрыва. Перевозить их можно только в виде изделий. А. Е. Фогельзанг.

Синонимы/примеры:* Азид свинца; Тринитрорезорцинат свинца; Гремучая ртуть; Тетразен
*подобраны ИИ, возможны неточности