Секуринеги

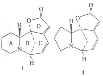
АЛКАЛОИДЫ СЕКУРИНЕГИ, выделены из растений рода секуринега (Securinega) и филантус (Phyllanthus) семейства молочайных. Насчитывают ок. 20 представителей. Молекулы алкалоидов секуринеги содержат индолизидиновый или пирролизидиновый фрагменты. Примерами служат соотв. секуринин (ф-ла I) и чорсекуринин (II). Т-ра плавления последнего 36-37 °С, [1015-18.jpg]D — 272° (этанол). Алкалоиды типа II относительно неустойчивы и легко полимеризуются.

Многообразие алкалоидов секуринеги обусловлено разл. пространств. расположением колец А, В, С и D, присутствием гидрокси-и метоксигрупп в кольцах А и С и частичным восстановлением двойных связей (при наличии заместителей в кольце С двойная связь отсутствует).
1015-19.jpg

Среди алкалоидов секуринеги обнаружены соед., обладающие стимулирующим действием на центр. нервную систему, противоопухолевой активностью и ингибирующие ацетилхолинэстеразу.

Наиб. изучен секуренин: т. пл. 142-143°С, [1015-20.jpg]D -1042° (этанол); раств. в хлороформе, плохо-в воде, диэтиловом эфире, ацетоне. Выделяется из секуринеги полукустарниковой (Securinega suffruticosa); в сухом растит. сырье содержание алкалоида от 0,07 до 0,84% по массе. Секуринин-стимулятор центр. нервной системы, менее токсичный, чем стрихнин. Применяется в медицине (в виде нитрата) при пе-риферич. параличах, нервных и психич. заболеваниях и др.

Литература

Snieckus V., в кн.: Alkaloids, v. 14, N.Y., 1973, p. 425-506. М. С. Юнусов.

Комментарии*

Дополнения к описанию алкалоидов секуринеги:

  • Механизм действия секуринина: Секуринин является антагонистом глициновых и, в меньшей степени, ГАМК-рецепторов в спинном и головном мозге. Блокируя тормозные нейромедиаторы, он повышает рефлекторную возбудимость спинного мозга и тонус скелетной мускулатуры.
  • Применение в медицине (дополнение): Помимо перечисленного, исторически применялся как тонизирующее средство при астенических состояниях, гипотонии и импотенции. В настоящее время его использование в клинической практике значительно сокращено.
  • Токсикология: Хотя секуринин менее токсичен, чем стрихнин, он все же является сильнодействующим веществом. Передозировка вызывает судороги, похожие на стрихниновые, из-за чрезмерного стимулирования центральной нервной системы.
  • Биосинтез: Алкалоиды секуринеги биосинтезируются из аминокислоты лизина. Индолизидиновый фрагмент (как у секуринина) образуется из двух молекул лизина, а пирролизидиновый (как у чорсекуринина) — из одной.
*Подобраны с помощью LLM, верифицированы, но возможны неточности.