Глицидные эфиры

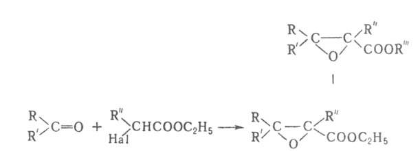
ГЛИЦИДНЫЕ ЭФИРЫ, сложные эфиры глицидных к-т общей ф-лы I. Хорошо раств. в орг. р-рителях, хуже -в воде. Получают глицидные эфиры по р-ции Дарзана конденсацией альдегидов или кетонов с эфирами1115-33.jpgгалогензамещенных карбоновых к-т в присут. основных агентов, напр. трет-C4H9OK, C2H5ONa, Na, NaNH2:
1115-34.jpg

Применяются в орг. синтезе.

Комментарии*

Глицидные эфиры - это химические соединения, содержащие эпоксидную (оксациклопропановую) группу и сложноэфирный фрагмент. Они обладают высокой реакционной способностью благодаря напряжению в трехчленном эпоксидном цикле.

  • Ключевые свойства:

    • Являются электрофилами в реакциях с нуклеофилами
    • Способны к реакциям раскрытия эпоксидного цикла
    • Многие глицидные эфиры проявляют токсичность
  • Применение:

    • Промежуточные соединения в синтезе фармацевтических препаратов
    • Производные глицидных эфиров используются как стабилизаторы полимеров
    • Компоненты в производстве эпоксидных смол и поверхностно-активных веществ
  • Механизм реакции Дарзана: Протекает через образование карбаниона из галогензамещенного сложного эфира с последующим внутримолекулярным нуклеофильным замещением с образованием эпоксидного цикла.

*Подобраны с помощью LLM, верифицированы, но возможны неточности.
Синонимы/примеры:* Глицидиловые эфиры; Эпоксиэфиры
*подобраны ИИ, возможны неточности