Полимерорастворимые красители
ПОЛИМЕРОРАСТВОРИМЫЕ КРАСИТЕЛИ, орг. красящие в-ва, способные растворяться в расплавах полимеров; применяются для крашения полимерных материалов в массе.
К полимерорастворимым красителям относят красители, растворяющиеся в расплаве в концентрациях, превышающих, по крайней мере в несколько раз, концентрации полимерорастворимых красителей, необходимые для достижения интенсивных окрасок и составляющие ~0,5% от массы полимера. Для повышения р-римости в полимерорастворимые красители иногда вводят разл. заместители, напр. группировки, содержащие длинные алифатич. цепи. Р-римость зависит также от св-в полимера и т-ры расплава, вследствие чего одно и то же в-во может вести себя в разных полимерах как полимерорастворимый краситель либо как пигмент (см. Пигменты). По сравнению с последними полимерорастворимые красители равномерно распределяются в окрашиваемых субстратах, не требуя предварит. диспергирования; не ухудшают физ.-мех. показателей полимеров и изделий из них, что особенно важно для волокон; вводятся в меньших концентрациях при достижении равной интенсивности окрасок. Однако полимерорастворимые красители, как правило, уступают пигментам по устойчивости в расплавах полимеров, что ограничивает методы их введения и послед. переработки в изделия. Кроме того, возможна миграция красителя, степень к-рой зависит от структуры и св-в полимера: в случае трехмерной структуры и при наличии центров, способных образовывать разл. рода связи с полимерорастворимыеми красителями (ионные, водородные, ван-дер-ваальсовы), миграция понижается. Исключить миграцию можно при использовании полимерорастворимых красителей, ковалентно связывающихся с полимерами, напр. для крашения полиэфиров в полимерорастворимые красители иногда вводят карбокси-группы.
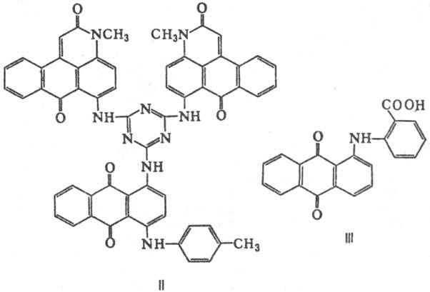
Для практич. применения подбирают полимерорастворимые красители с оптим. св-вами для каждого полимера и конкретных изделий, в зависимости от условий крашения и переработки. Так, для полистирола в качестве полимерорастворимых красителей могут использоваться жирорастворимые красители, включая ряд простейших азокраси-телей, что обусловлено относительно низкими т-рами переработки и практич. отсутствием миграции. Высокой устойчивостью даже в химически агрессивных полимерах (напр., полиэфиры и особенно полиамиды) при высоких т-рах (270-290 °С) обладают 1,4-диариламиноантрахиноны (м-то-лилпроизводные - зеленого цвета, мезитилзамещенные - синего цвета) (см. Антрахиноновые красители), а также 6-арил-амино-3-метилантрапиридоны (ф-ла I), обладающие синевато-красной и фиолетовой окраской; для повышения миграционной устойчивости, особенно при крашении волокон, используют замещенные этих соединений.
Так, для полиамидов в качестве синего полимерорастворимого красителя применяют аммониевые соли дисульфокислоты 1,4-димези-диноантрахинона, в частности гекса-метилендиаммониевую соль, однако при этом понижается устойчивость к мокрым обработкам.
Для полиэфиров применяют полимерорастворимые красители ф-лы II (красно-коричневого цвета) и 1-(2-карбоксифениламино) антрахи-нон (красного цвета, III), а также "антримиды", напр. 3-(1-антрахино- ниламино) бензантрон.

В качестве полимерорастворимых красителей широко применяют периноновые красители, напр. продукт конденсации тетрахлорфталевого ангидрида и 1,8-нафтилендиамина (красный полимерорастворимый краситель), производящийся всеми ведущими фирмами мира. Многие из этих красителей устойчивы в полиамидах, однако часто дают окраски с недостаточной светостойкостью.
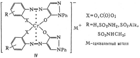
Практич. значение имеет ряд металлокомплексных полимерорастворимых красителей, напр. Ni-комплексы азометинов, в частности красный полимерорастворимый краситель для полиэфиров (см. ф-лу II в ст. Азометиновые красители), а также Сг-комплексы азокрасителей состава 1:2 ф-лы IV (желтые, оранжевые, красные):

Иногда комплексы типа IV производят в виде гексаметилен-диаммониевых солей.
Полимерорастворимые красители предназначены для окрашивания, как правило, готовых полимеров, в к-рые они могут вводиться в виде порошков методом опудривания гранул или смешением с порошками полимеров. В случае полиамидов иногда применяют крашение гранулята из водных ванн, напр. сульфопроизвод-ными соед. I и комплексами типа IV. Наиб. технологичный метод-применение спец. выпускных форм, представляющих собой гранулы концентратов полимерорастворимых красителей в соответствующих полимерах-носителях. В качестве последних используют полимеры, подлежащие крашению, а иногда-сложные смеси полимеров. Применение полимерорастворимых красителей в процессе синтеза полимеров в большинстве случаев нецелесообразно. М. В. Казанков.