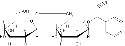
Амигдалин

Синонимы:
амигдалозидминдальной кислоты нитрила генциобиозид
Внешний вид:
бесцветн. ромбические кристаллы (растворитель перекристаллизации - вода)Брутто-формула (система Хилла): C20H27NO11
Молекулярная масса (в а.е.м.): 457,429
Температура плавления (в °C): 215
Растворимость (в г/100 г или характеристика):
вода: 8,3 (10°C)вода: смешивается
диэтиловый эфир: не растворим
этанол: 0,11 (10°C)
этанол: 9 (78°C)
Природные и антропогенные источники:
Содержится в горьком миндале.Механизм действия:
Расщепляется бета-гликозидазой на генцибиозу, бензальдегид и синильную кислоту. Синильная кислота и оказывает отравляющее действие.
- "Справочник химика" т.2, Л.-М.: Химия, 1964 стр. 416-417
- Тюкавкина Н.А., Бауков Ю.И. "Биоорганическая химия" М.:Медицина, 1985 стр. 383
Источники информации:
Синонимы/примеры:*
Амигдалин; Лаэтрил; Витамин B17
*подобраны ИИ, возможны неточности
Ещё по теме
Амигдалин — свойства и риски
Ацетилхолин — свойства и применение
Аймалин — свойства и применение алкалоида
Аминостигмин — применение и свойства
Глицин — свойства и применение
Ацетилхолин — роль и применение
Альдимины — особенности и применение
Метилглицин и бетаин — свойства и синтез
Аминостигмин — свойства и применение
Галантамин — характеристики и применение
Ацетилхолин — свойства и роль в организме
Ацелизин — характеристики и применение
Глицин — свойства и применение
Альбумин человеческий иммуно — применение и особенности