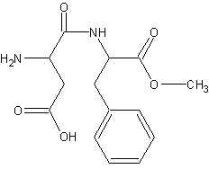
Аспартам

Синонимы:
L-альфа-аспартил-L-фенилаланина монометиловый эфирБрутто-формула (система Хилла): C14H18N2O5
Молекулярная масса (в а.е.м.): 294,3
Дополнительное описание:
Сладость по отношению к 2% раствору сахарозы = 153Дополнительная информация:
- Крутошикова А., Угер М. "Природные и синтетические сладкие вещества" М.:Мир, 1988 стр. 103
Источники информации:
Синонимы/примеры:*
Аспартилфенилаланин метиловый эфир; Нутрасвит; Сладекс; Сукразид
*подобраны ИИ, возможны неточности
Ещё по теме
Аспартам — свойства и применение
Аспартам — характеристики и применение
Аспарагиновая кислота — свойства и применение
Алкилдифенилы — свойства и применение
Фталимид — характеристики и применение
Амид 4-гидроксифенилуксусной кислоты — свойства и применение
Алкилдифенилоксиды — характеристики и применение