III. Основные гетероциклические соединения
14. Общепринятые названия, окончания которых не соответствуют химической функции вещества, изменяются в зависимости от особенностей каждого языка.
Например (на английском и французском языках), окончание -ol заменяется окончанием -ole (pyrrol — pyrrole); окончание -апе заменяется окончанием -an (pyrane — pyran).
15. Если азотсодержащие гетероциклические соединения, наименования которых не оканчиваются на -ин, дают при ступенчатом гидрировании продукты основного характера, эти продукты могут быть последовательно обозначены добавлением окончаний -ин, -идин, например: пиррол, пирролин, пирролидин; оксазол, оксазолин.
16. Для обозначения гетероатомов, входящих в цикл, применяется окончание «а». Кислород, следовательно, обозначается окса, сера — тиа, азот — аза и т. п. Буква «а» может быть пропущена перед гласной. Например: тиадиазол, оксадиазол, тиазин, оксазин.
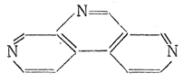
Сохраняя для гетероциклических соединений общепринятые наименования, их названия можно также образовывать от наименования соответствующего изоциклического соединения добавлением названий гетероатомов, оканчивающихся на «а», например 2,7,9-триазафенантрен:
