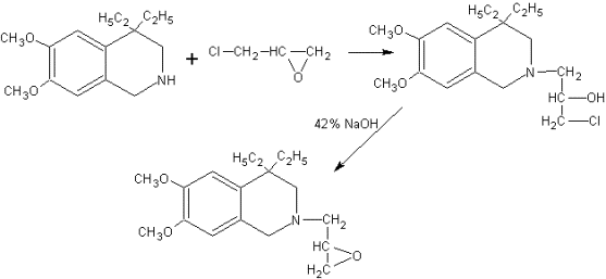
6,7-Диметокси-2-(2,3-эпоксипропил)-4,4-диэтил-1,2,3,4-тетрагидроизохинолин

Предложили: А.С.Аветисян, Э.А.Маркарян
Проверили: Г.К.Айрапетян, Ж.С.Арустамян
Получение
6,7-Диметокси-2-/(2-гидрокси-3-хлор)пропил/4,4-диэтил-1,2,3,4-тетрагидроизохинолин. В трехгорлую круглодонную колбу емкостью 500 мл, снабженную мешалкой, термометром, капельной воронкой и обратным холодильником, помещают 15,0 г (0,06 моля) 6,7-диметокси-4,4-диэтил-1,2,3,4-тетрагидроизохинолина (прим. 1) с тремя каплями воды и при эффективном перемешивании добавляют по каплям в течение 10 мин 5,6 г (0,06 моля) эпихлоргидрина, поддерживая температуру реакционной среды в пределах 30-35° (прим. 2). Перемешивание в указанных условиях продолжают еще 30 мин, затем нагревают 3 ч при 60-65° и 1 ч при 70-75° до полного загустевания реакционной смеси. По охлаждении, к полукристаллической массе добавляют 200-250 мл абсолютного эфира и растирают стеклянной палочкой. Светло-коричневые кристаллы отфильтровывают, промывают на фильтре 50-100 мл абсолютного эфира. Выход 12,4-13,0 г (60,2-63,1%); т.пл. 92-94° (прим. 3)
6,7-Диметокси-2-(2,3-эпоксипропил)-4,4-диэтил-1,2,3,4-тетрагидроизохинолин.В трехгорлую круглодонную колбу емкостью 500 мл, снабженную мешалкой, термометром, капельной воронкой и воздушным холодильником, помещают 10,2 г (0,03 моля) 6,7-диметокси-2-/(2-гидрокси-3-хлор)пропил/-4,4-диэтил-1,2,3,4-тетрагидроизохинолина и 80 мл бензола. К полученному раствору при перемешивании прибавляют по каплям в течение 20 мин 9 мл 42%-ного раствора едкого натра, поддерживая температуру реакционной среды в пределах 20-25°, перемешивают час в указанном режиме, затем еще 2 ч при температуре 40-42° (прим. 4). По охлаждении, бензольный раствор промывают водой три раза по 30 мл, растворитель удаляют в вакууме водоструйного насоса. К остатку приливают 100 мл абсолютного эфира, фильтруют и фильтрат высушивают едким кали. После удаления эфира получаю маслообразное вещество (прим. 5). Выход 8,7-9,0 г или 93,5-96,8% теоретического количества.
6,7-Диметокси-2-(2,3-эпоксипропил)-4,4-диэтил-1,2,3,4-тетрагидроизохинолин.C18H27NO3, мол. вес 305,42 – светло-коричневое маслообразное вещество, хорошо растворимое в обычных растворителях, нерастворимое в воде.
Примечания
1.6,7-Диметокси-4,4-диэтил-1,2,3,4-тетрагидроизохинолин получен с 64,6%-ным выходом конденсацией 2-(3,4-диметоксифенил)-2-этилбутиламина с формалином1.
2.Возможное самопроизвольное разогревание реакционной смеси (100° и выше) приводит к осмолению продукта, поэтому необходимую температуру поддерживают охлаждением колбы проточной водой.
3.Продукт достаточно чист и в таком виде может быть использован в следующей стадии.
4.Повышение температуры приводит к снижению выхода.
5.ТСХ на силуфоловой пластинке UV-254, элюент бутиловый спирт-этилацетат-25%-ный водный аммиак-вода (9:7:2:2), Rf 0,78. Мол. вес 305 (масс-спектрометрически).
Другие способы получения
6,7-Диметокси-2-(2,3-эпоксипропил)-4,4-диэтил-1,2,3,4-тетрагидроизохинолин получен только по описанному выше способу2.
1.А.С.Аветисян, О.М.Авакян, А.В.Погосян, Э.А.Маркарян, Арм. хим. ж., 32, 305 (1979)
2.А.С.Аветисян, Э.А.Маркарян, Арм. хим. ж., 35, 50 (1982)